由于抗生素廣泛用于人類醫療、 畜禽養殖、 水產養殖等,大量殘留的抗生素進入環境,致使微生物在持續抗生素選擇壓力下產生了耐藥性,形成了耐藥菌[1]. 抗性基因是耐藥菌具有抗性的主要原因之一,它可以通過多種形式的可移動遺傳元件如質粒、 整合子、 轉座子、 插入序列等,突破細菌之間的種屬關系廣泛傳播,加重抗性污染[2]. 近幾年,國內外細菌的耐藥率成逐年上升的趨勢[3, 4, 5],并且國內外已有報道指出,耐藥菌和抗性基因可能成為一種新型的環境污染物,其風險將比抗生素藥物本身的污染風險更高[6],這將對環境和人類健康構成嚴重的威脅[7, 8].
大環內酯與林可霉素、 鏈陽菌素類抗生素具有細菌染色體上重疊的作用位點,因此導致一類抗性基因對所有這些抗生素具有抗藥性,稱為大環內酯類-林可霉素類-鏈陽菌素(macrolide-lincosamide-streptogramin,MLS)抗性基因[9]. 已有研究表明,MLS抗性基因不僅能在G+和G-菌之間傳播[10, 11],而且廣泛存在于污水中,例如,MLS抗性基因廣泛存在于污水處理廠和海河流域的河水[12]、 養豬廢水[13]和臨床醫院廢水[14],其中在臨床醫院廢水中分離出的紅霉素耐藥鏈球菌(Streptococcus)中有78.7%攜帶MLS抗性基因[14]. MLS抗性基因宿主廣泛,且抗生素制藥廢水通常含有非常高的微生物量和豐富的營養,是耐藥菌、 MLS抗性基因產生和擴散傳播的高發區. 抗生素廢水有機物濃度高,難于處理,目前人們主要關注的是常規污染物(如COD、 氨氮)的去除效果,缺乏對抗生素廢水抗性污染控制的深入研究.
本文以江蘇無錫某螺旋霉素生產廢水為研究對象,通過現場采樣分析,重點考察耐藥菌(antibiotic resistance bacteria,ARB)與抗性基因(antibiotic resistance genes,ARG)在螺旋霉素抗生素廢水處理過程中的分布和轉歸特征,以期為抗生素制藥廢水的抗性污染防治提供科技支撐.
1 材料與方法
1.1 樣品采集
本研究的樣品采集于江蘇省無錫市某制藥廢水處理站,主要采用活性污泥法處理螺旋霉素生產廢水 ,污水處理流程為:調節池-厭氧池-缺氧池-好氧池-二沉池. 本研究采樣分兩次進行,分別于2014年4月(春季)和2014年9月(秋季)采集不同污水處理單元(調節池、 厭氧池、 缺氧池、 二沉池)的出水樣品,分別標記為A1~A4和S1~S4. 采集的樣品置于便攜式冰箱運回實驗室,并于4℃冰箱中保存待用. 1.2 樣品的處理 1.2.1 水質分析
根據國家標準方法[15]對污水的常規指標(SS、 COD、 氨氮、 硝酸鹽、 亞硝酸鹽、 磷酸鹽等)進行檢測. 1.2.2 樣品總DNA提取
由于污水樣品為泥水混合物,為了使泥水能夠分離,同時又不會把水樣中的微生物沉淀下去,并考慮到泥水混合物中大顆粒物與微生物的沉降速度不同,故通過低速離心使其分離,根據各采樣點的水質不同分別取20~100 mL經過0.22 μm濾膜過濾,將濾膜剪碎,采用試劑盒Fast DNA Spin Kit for soil (USA)對濾膜上截留的生物量提取基因組總DNA. 提取的DNA溶液在Nanodrop分光光度計(Nanodrop,US)上測定濃度和質量,并進行瓊脂糖凝膠電泳(TBE緩沖液,質量體積比1%). 1.2.3 樣品中可培養細菌和腸球菌豐度的分析
總異養菌濃度的分析主要采用R2A培養基進行培養計數[16],用1 mL 滅菌移液吸管吸取污水樣品1 mL,緩慢注入含有9 mL滅菌PBS緩沖液的試管內,振蕩試管混合均勻,制成10-1 稀釋菌液. 同法依次連續稀釋至10-2、 10-3、 10-4、 10-5稀釋菌液. 每個采樣點水樣選擇3個適宜稀釋度,每個稀釋梯度做3個平行樣,吸取0.1 mL稀釋菌液,加在已經倒入滅菌培養基并凝固備用的平板上. 涂布法涂布均勻,37℃恒溫生化培養箱中培養2 d后計數,以上無菌操作均在超凈臺中進行.
腸球菌的濃度分析主要采用濾膜法測定[17],污水樣品同上經過稀釋,不同采樣點的樣品采用PBS緩沖液稀釋成適宜的稀釋液,用孔徑0.45 μm醋酸纖維濾膜過濾,將濾膜以截留面朝上貼附在滅菌濾膜腸球菌培養基并凝固備用的平板上,平板倒置于生化培養箱中,37℃恒溫培養2~5d,根據菌落生長情況確定培養時間(t). 計數每個平板上的菌落數,并根據稀釋倍數計算樣品中腸球菌的豐度. 挑取乳白色菌落劃線于膽鹽七葉苷瓊脂培養基上,挑取有棕色光澤的菌落保存進行下一步實驗. 1.3 菌株藥敏測試
藥敏測試采用CLSI 推薦的Kirby-Bauer 紙片法[18],將待檢菌株菌液的濁度用無菌生理鹽水調節至0.5麥氏濁度后,用棉簽蘸取菌液涂布于Muller-Hinton 瓊脂(Oxoid)平板上,貼上4種抗生素藥敏紙片(Oxoid):阿奇霉素(AZI)、 紅霉素(ERY)、 螺旋霉素(SP)、 克拉霉素(CLR). 將平板倒置于生化培養箱中,37℃恒溫培養24 h,測定抑菌圈直徑,采用CLSI 標準判斷菌株的抗性,該研究以ATCC25922菌株為質控菌株. 1.4 抗性基因和轉移元件的檢測 1.4.1 抗性基因定性和腸球菌攜帶抗性基因的檢測
采用PCR方法檢測大環內酯類抗性基因ermB、 ermF、 ermX、 mefA、 ereA、 mphB和轉移元件ISCR1、 intI1、 Tn916/1545,PCR所用引物見表 1. 抗性基因定性檢測反應體系為:10 μL Green qPCR Master Mix,0.5 μL引物(F),0.5 μL引物(R),DNA模板1 μL,加ddH2O至20 μL. 反應程序為:94℃ 5 min; 94℃ 30 s,55℃ 30 s,72℃ 1 min,34次循環; 72℃ 5 min,并在4℃保存. 每次運行使用無菌水做陰性對照,PCR產物以1%的瓊脂凝膠電泳分析.

表 1 抗性基因和轉移元件所用引物序列
采用菌液PCR的方法檢測腸球菌攜帶抗性基因ermB、 mefA和轉移元件intI1的情況,基因引物同上. 菌液PCR反應體系為:10 μL Green qPCR Master Mix,0.5 μL引物(F),0.5 μL引物(R),菌液0.5 μL,加ddH2O至20 μL. 反應程序為:94℃ 15 min; 94℃ 30 s,55℃ 30 s,72℃ 1 min,34次循環; 72℃ 5 min,并于4℃保存. 每次運行使用無菌水做陰性對照,PCR產物以1%的瓊脂凝膠電泳分析. 1.4.2 抗性基因的定量檢測
采用SYBR-Green實時定量PCR方法對各基因進行定量分析,檢測儀器為StepOne型熒光定量PCR儀(ABI,美國). PCR產物經過克隆測序確認后,使用生工質粒提取試劑盒SK1131從陽性克隆子中提取質粒,用作標準曲線. 使用NanoDrop微量分光光度計(Thermo Scientific,美國)測定質粒濃度. 制作標準曲線時按照10倍梯度稀釋構建好的各質粒,于90 μL稀釋液中加入10 μL 質粒,做4~6個點,通過預實驗選取合適標準品用于制備標準曲線. 標準質粒、 環境樣品、 陰性對照均做3個平行,取平均值進行計算.
質??截悢祿Q算公式(copies ·μL-1)=[質粒濃度(ng ·μL-1)×10-9×6.02×1023]/[克隆產物堿基數×660(g ·mol-1)]
載體(pMD 18-T)堿基數=2 692 bp,載體(pGEMX-T Easy)堿基數=3 023 bp
熒光定量PCR反應體系為:12.5 μL 2×SYBR,1.0 μL DNA (10 ng ·μL-1),0.5 μL 引物 F (10 mol ·L-1),0.5 μL引物 R (10 mol ·L-1),10.5 μL 水,總體積 25.0 μL. 熒光定量PCR反應程序為:① 50℃,2 min,② 95℃,5 min,③ 95℃,20 s,④ 退火,30 s,⑤ 72℃,31 s,⑥ Plate read,重復③~⑤,39 次重復,⑦Melt-curve 分析:60℃ to 95℃. 每隔0.2℃采集一次熒光以生成溶解曲線,根據溶解曲線的變化檢測擴增結果的特異性. 退火溫度和反應時間根據引物不同進行調整. 2 結果與討論 2.1 水質凈化效果
從表 2可知,進水的COD和氨氮濃度較高,經過厭氧池、 缺氧池和好氧池之后,逐級下降,二沉池出水中COD和氨氮的濃度分別為142.5 mg ·L-1和26.1 mg ·L-1,COD和氨氮的去除率分別為90%~94%和87%~90%,基本達到了發酵類制藥工業水污染物排放標準(GB 21903-2008)的要求.

表 2 抗生素制藥廢水處理過程的常規化學指標
圖 1顯示了總異養菌和腸球菌在4個污水處理單元的去除效果. 調節池出水中總異養菌濃度(CFU ·100 mL-1)介于8.2~8.4 logs,腸球菌濃度(CFU ·100 mL-1)介于5.3~5.6 logs,這表明春季和秋季進水中都有著豐富的異養菌和腸球菌.

圖 1 抗生素制藥廢水處理過程中總異養菌和腸球菌的豐度分布
以往的研究表明,污水處理過程中可以去除0~5個數量級的總異養菌和腸球菌[17]. 本研究表明,經過厭氧池、 缺氧池、 好氧池處理階段后,總異養菌和腸球菌都大幅度地被去除,二沉池出水中總異養菌和腸球菌的濃度分別降低了1.6~2.1 logs和3.7 logs,有效降低了細菌抗性的傳播風險. 2.2 腸球菌的耐藥率
從春季和秋季采集的4個污水生物處理單元的出水中分離出了94株腸球菌,它們對4種大環內酯類抗生素的耐藥率變化情況如表 3所示,所有的腸球菌對阿奇霉素、 克拉霉素、 紅霉素和螺旋霉素都具有抗性. 然而經過污水處理之后,腸球菌的耐藥率不僅沒有得到削減,而且在春季和秋季沒有顯著差異,這說明腸球菌的耐藥率與季節并沒有直接的相關性. Ma等[23]認為污水生物處理能有效削減微生物量包括病原菌,但卻不能有效削減一些攜帶抗性基因和整合子的細菌. 本研究結果表明,螺旋霉素生產廢水生物處理能有效地削減總異養菌和腸球菌的數量,但卻不能削減耐藥菌的比例.

表 3 腸球菌的耐藥率
2.3 抗性基因的分布和轉歸特征
2.3.1 腸球菌攜帶抗性基因的檢出率
從4個污水生物處理單元出水中分離出來的94株腸球菌均對大環內酯類抗生素螺旋霉素、 阿奇霉素、 克拉霉素、 紅霉素具有抗性. 通過檢測這94株腸球菌抗性菌所攜帶的MLS抗性基因ermB、 mefA和轉移元件intI1,結果顯示(見表 4),有75株腸球菌對ermB抗性基因呈陽性,但全部94株腸球菌對mefA和intI1都呈陰性. 已有研究報道ermB抗性基因的檢出率高于MLS抗性基因的檢出率[24]. 雖然Luna等[25]分離出的腸球菌攜帶抗性基因mef,但是Portillo等[26]分離的腸球菌卻沒有檢測到抗性基因mef,這與本研究的結果一致,他認為不同環境中抗性基因mef的分布特征不同. 春季分離出的30株腸球菌中有73%攜帶抗性基因,而秋季分離出的64株腸球菌中有79%攜帶ermB抗性基因,這說明氣溫對腸球菌攜帶抗性基因沒有顯著的影響.

表 4 腸球菌攜帶抗性基因的檢測結果
在4個污水處理單元中ermB的檢出率分別為84%、 73%、 76%、 75%. ermB抗性基因在厭氧池有一定的去除效果,但在缺氧池開始出現了反彈. 總體來說,經過污水處理,腸球菌中抗性基因ermB的檢出率下降了9%. ermB抗性基因常常與一些質粒、 轉座子等轉移元件相關聯[24],在缺氧池中出現反彈的原因很可能與轉座子、 質粒的相關聯有關,然而環境中的生物千變萬化,也可能與微生物量的變化有著緊密的聯系,具體原因有待進一步研究. 2.3.2 抗性基因的分布和轉歸特征
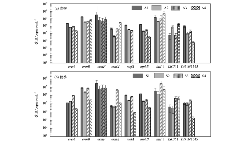
利用熒光定量PCR的方法檢測了大環內酯類抗性基因ermB、 ermF、 ermX、 mefA、 ereA、 mphB和轉移元件ISCR1、 intI1、 Tn916/1545在4個污水處理單元中不同季節的分布特征和變化情況(圖 2). 從圖 2(a)中可知,春季進水中抗性基因和轉移元件的濃度范圍為4.53×105~3.39×107 copies ·mL-1,二沉池出水中抗性基因的濃度范圍為0~7.53×106 copies ·mL-1,污水處理對抗性基因ermB、 ermF、 mefA、 ereA、 mphB和轉移元件Tn916/1545都有一定的去除效果,削減范圍為0.4~6 logs,抗性基因和轉移元件的削減效果依次為mefA>Tn916/1545> mphB> ereA> ermF>ermB,其中mefA在二沉池出水中未檢出,去除了6 logs,去除效果最好; 而ermX、 intI1、 ISCR1不但沒有被去除,反而出現了反彈. 如圖 2(b)中所示,秋季進水中抗性基因和轉移元件的含量范圍為 4.17×104~2.95×107 copies ·mL-1,二沉池出水中抗性基因和轉移元件的含量范圍為1.86×103~8.19×106 copies ·mL-1,抗性基因ermB、 ermF、 mefA、 ereA、 mphB和轉移元件Tn916/1545有一定的去除效果,出水中下降了0.55~2.1 logs,其中mefA去除效果較好,下降了2.1 logs,而ermX、 intI1、 ISCR1出現了反彈.

圖 2 抗生素制藥廢水處理過程中抗性基因和轉移元件的變化
從上述結果可知,春季和秋季中ermB和ermF抗性基因的濃度均為最高. 已有研究證實了erm-TR抗性基因的檢出率最高,是最廣泛存在的大環內酯類抗性基因[13]. ermB和 ermF的豐度高,一個原因是宿主廣泛,已報道的研究中表明宿主覆蓋了革蘭氏陽性菌(G+)和革蘭氏陰性菌(G-)、 好氧菌和厭氧菌,另一個原因是這些基因常常與水平轉移因子有關,比如可連接的轉座子和質粒. 抗性基因mefA 為外排泵基因,在春季和秋季樣品中的去除效果均是最好的. 但是廣泛的宿主和潛在的水平轉移能力與該基因在系統中的低濃度似乎有些矛盾. 可能解釋的原因是由于 G-菌存在外膜,螺旋霉素不能進入 G-菌細胞,G-細菌具有固有抗性,因此不需要外排泵作用[27]. 根據水質情況分析,春季中進水的COD明顯比秋季進水高,已有研究表明有機物濃度的增加利于耐藥菌和抗性基因的傳播擴散. 本研究中春季樣品中抗性基因豐富的原因很可能與高濃度的有機污染物存在有關[28].
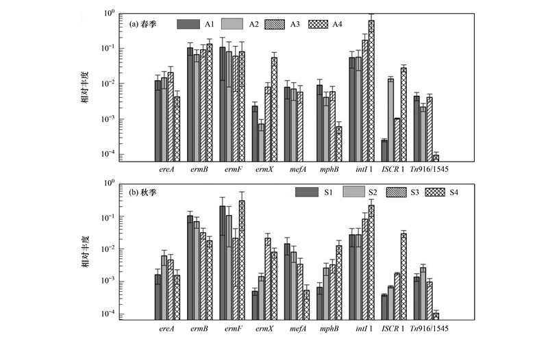
將各抗性基因歸一化到16S rRNA,考察抗性基因在污水處理過程中的相對豐度變化,可以了解抗性基因在總DNA中的相對表達量,結果見圖 3. 如圖 3(a)所示春季樣品在污水處理過程中抗性基因ermF、 mefA、 ereA、 mphB和轉移元件Tn916/1545的豐度分別降低了25.24%、 100%、 65.14%、 93.31%和97.90%,而抗性基因ermB、 ermX和轉移元件intI1、 ISCR1的豐度均不同程度上升了. 如圖 3(b)所示,秋季樣品在污水處理過程中抗性基因ermB、 mefA、 ereA和轉移元件Tn916/1545的豐度降低了82.73%、 93.31%、 3.97%和92.25%,而抗性基因ermF、 mphB、 ermX和轉移元件intI1、 ISCR1的豐度均不同程度上升了.

圖 3 各污水樣品中 MLS 抗性基因和轉移因子的相對豐度
污水處理過程中只可以去除部分抗性基因和轉移元件,但同時也使部分抗性基因發生了傳播. mefA、 ereA、 Tn916/1545的豐度在春季和秋季樣品中有顯著的差異,這些抗性基因和轉移元件在春季樣品中的去除效果明顯好于秋季. 目前,抗性基因在何種環境和條件下會水平轉移,在何種情況下會削減尚無一致定論,還有待今后更深入地研究. 具體參見 污水處理技術資料或污水技術資料更多相關技術文檔。
?3 結論
(1)螺旋霉素制藥廢水生物處理(厭氧-缺氧-好氧)能有效削減總異養菌和病原菌腸球菌的數量,總異養菌和腸球菌的濃度分別降低了1.6~2.1 logs和3.7 logs.
(2)分離出來的94株腸球菌均對大環內酯類抗生素螺旋霉素、 阿奇霉素、 克拉霉素、 紅霉素具有抗性. 雖然污水處理對腸球菌的耐藥率沒有削減作用,但經過污水處理后腸球菌中ermB的檢出率下降了9%.
(3)抗生素制藥廢水生物處理對抗性基因ermB、 ermF、 mefA、 ereA和轉移元件Tn916/1545的含量有一定的削減作用,但抗性基因ermX和intI1、 ISCR1的含量反而發生了一定程度的反彈.
(4)抗生素制藥廢水生物處理過程中mefA、 ereA、 Tn916/1545的豐度降低了,且春季mefA、 ereA、 Tn916/1545的去除效果明顯好于秋季,而ermX和轉移元件intI1、 ISCR1的豐度分別增加了。(來源及作者:廣西大學生命科學與技術學院 覃彩霞、申佩弘 中國科學院生態環境研究中心 佟娟、魏源送)
