湖泊生態承載力研究
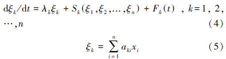
根據MIEP,在約束條件(2)下信息熵SJ最大化,即利用Lagrange乘算法使式(1)在式(2)下取極值,由泰勒展開式得:

式中,系數σ為由Lagrange優化決定的參數.由此可推出動力學演化方程:

式中,Fk和Sk反映指標或組元間的相互作用,aki表示組元xi間的連接權值,ξk(同ξ)是xi的宏觀組合模式的結構參量,ξ值代表生態承載力水平,若指標數據xi都是正向的,則ξ值越大,生態承載力越高.
該模型提供了一種描述世界萬象的新方法,這樣的“有生于無”的過程通過方程(4)這個動力系統來實現.一個特征值λk對應著一個可能的宏觀結構模式ξk,λk>0的情況對應著活躍的組合模式,將在競爭的過程中獲勝進而決定生態承載力的宏觀結構,λk<0的情況對應著不活躍的組合模式,在競爭過程中被淘汰.由此揭示生態承載力結構模式的變化特征,這樣我們就建立了基于信息熵的生態承載力評價模型.
自組織特征映射神經網絡(SOM)是一個與生態承載力等價的動力系統,每個神經元相當于一個元胞,神經元之間存在復雜的相互作用.將生態承載力的指標組元映射到SOM網絡中,激發某個神經元產生了權值aki,式(1)中的信息會發生變化,通過競爭繼續激發新的神經元,以此迭代可以呈現出生態承載力的動態演化過程,同時完成式(4)的求解.在這樣的復雜系統中需要力所能及地考慮所有聯系,因此,需要利用MATLAB得到其演化的動力學過程和生態承載力的表征值ξ.
3 洞庭湖生態經濟區生態承載力評價
3.1 數據來源與計算
本文的研究區域包括洞庭湖生態經濟區的常德、益陽、岳陽3個中心城市及長沙望城區共25個縣(市、區),對其2008—2012年生態承載力進行分析,其中,社會經濟與資源環境類指標的數據來源于2008—2012年各地的《統計年鑒》、《國民經濟與發展統計公報》、《環境狀況公報》和《國民經濟和社會發展統計公報》等,土壤與土地類指標數據由其他論文和網絡數據綜合得到.
評價指標中涉及的經濟數據包括人均GDP、萬元GDP能耗和萬元GDP水耗.考慮到經濟發展中價格變化的影響,以現價人均GDP、居民消費水平絕對額和保險福利費用不能直接對比,故先將上述經濟數值折算成2008年不變價,然后利用不變價的經濟數值進行比較.并且由于原數據受單位和數量級的影響,指標耦合的差異性較大,故需要對原始數據進行無量綱化,從而保持原始數據的一致性,在消除量綱、數量級影響的同時,保留各指標的變異程度.對生態城市建設有負影響的逆向指標先取倒數使其正向化,然后采取式(6)所示極值法進行歸一化處理后,在馮綮一(2010)開發的MFP模擬程序包的基礎上進行程序的編寫,借助MATLAB進行計算.
式中,i=1,2,…,m;Ci,max為該指標最大值.
3.2 結果與分析 3.2.1 洞庭湖生態經濟區生態承載力綜合評價
將指標層的數據標準化,采用3×4網格數進行400步演化模擬,計算洞庭湖生態經濟區2008—2012年的ξ值(ξ1~ξ5),結果如圖 2所示.在演化過程中,指標組元相互關聯、耦合,不斷進行競爭和自組織作用,從而產生反映其生態承載力水平的獲勝模式,獲得了每一組給定x1,x2,…,xn數據下的ξ值.可以看出,前150步模擬ξ值波動較大,之后逐漸趨于穩定,達到相對穩定的模式結構,此時的ξ值可代表生態承載力水平.

圖 2 2008—2012年洞庭湖生態經濟區生態承載力動態演化過程
將模擬得到的表征生態承載力水平的每一組給定x1,x2,…,xn數據下的ξ值整理后作折線圖,從圖 3以看出,洞庭湖生態經濟區2008—2012年期間生態承載力呈總體上升的趨勢,其中,2008年和2009年兩年生態承載力水平基本一致,2009—2010年呈現較明顯的上升,而2010—2011年呈現下降趨勢,2011—2012年生態承載力水平大幅度提高.說明近年來對洞庭湖生態經濟區的生態承載力建設效果顯著,該區域生態系統組元間的耦合關系越來越緊密.但2011年生態承載力水平的異常情況需要進一步模擬分析,從而為該地區下一步的規劃建設提出針對性的建議.

圖 3 洞庭湖生態經濟區生態承載力綜合評價結果
3.2.2 生態承載力準則層評價研究
為了深入了解洞庭湖生態經濟區生態承載力發展狀況,根據其各方面的發展狀態提出針對性的對策建議,提高生態承載力水平,可以基于準則層進行分析.將標準化的數據依次代入SOM網絡中進行分類分析模擬,借助MATLAB,分別演化出能夠反映該地區生態彈性(B1)、資源環境承載力(B2)、環境壓力(B3)和人類潛力(B4)的指標特征值,從而得到洞庭湖生態經濟區在這4個方面的發展趨勢(圖 4).

圖 4 洞庭湖生態經濟區2008—2012年準則層指標發展趨勢
洞庭湖生態經濟區生態彈性(B1)的發展狀態分兩個階段:2008—2009年呈現下降趨勢,2009—2012年呈穩步上升趨勢.可見前期對生態系統的利用和改造忽略了生態彈性方面的發展,導致生態系
統自我調節能力下降.2009年以后政府開始認識到生態彈性對整個生態系統承載力的重要性,使其發展水平慢慢上升.資源環境承載力(B2)的發展很不穩定,特別是2011年急劇下降,可見洞庭湖生態經濟區的資源狀況易受影響,需要政府在這方面加強監管,采取一定的措施促進其平穩發展,以免對生態承載力綜合水平造成較大的影響.環境壓力(B3)在這5年間變化不大,說明該方面各指標的發展有上升有下降,在一定程度上造成了整體水平平緩的現象.人類潛力(B4)的發展逐年上升,這與經濟發展和科技進步密不可分,還有政府在環境保護方面的投資和政策支持,人類環保意識的加強,都不同程度地促進了生態承載力的發展.
3.2.3 ξ值各分量雷達圖表征的生態承載力的發展演化
MIEP模型將區域生態系統看作是一個充滿耦合的復雜網絡,連接權值表示網絡中各指標與周圍環境交換廣義流能力的大小,對系統發展所做貢獻能力的大小.為了分析洞庭湖生態經濟區生態承載力發展演化狀況及各指標對系統所做貢獻的多少,用aki×xi描述ξ的形態,據其作雷達圖,將i軸的值用直線連接起來,得到的平面圖形即可表示各年生態承載力狀態特征值ξ的結構形態特征(圖 5).

圖 5 洞庭湖生態經濟區生態承載力的演化過程
整體來看,從2008年至2012年,雷達圖覆蓋的面積越來越增大,說明洞庭湖生態經濟區生態承載力發展過程的信息交流越來越強烈,系統結構逐漸完善.2008年到2009年覆蓋面積相似,說明這兩年間各指標的結構狀態沒有發生較大變化.相比于前兩年,2010年到2012年萬元GDP能耗(C16)、農藥施用強度(C17)、環保支出占財政比重(C18)和人均國內生產總值(C19)的較大發展使其對生態承載力的貢獻變大,指標均衡度提高,促進生態承載力發展結構的完善.2010年和2012年洞庭湖生態經濟區的地表水資源量(C9)、地下水資源量(C10)和人均水資源量(C11)三方面指標的較高水平使該地區生態承載力的系統結構有了明顯的改善,各指標發展更均衡,生態承載力水平大幅提高.這與當地的實際情況相符,2010年和2012年洞庭湖生態經濟區年人均水資源總量分別為2430.914 m3和2480.617 m3,遠高于其他年份,促使這兩年洞庭湖生態經濟區的生態承載力達到兩個較協調穩定的發展狀態,從而造成2011年生態承載力水平異常發展的現象.
表 2 模型的預測值與實際值的對比
3.3 生態承載力方面的預測
由于區域生態系統是由信息作用耦合在一起形成的穩定結構模式,由其結構參量控制,如果掌握組元與ξ之間作用關系的規律后,MIEP模型也可預測生態系統的發展演化趨勢.調控方法是在xi-ξ關聯圖上作相應延展或插值,以此再現組元相互作用的動力學過程和結構模式的演化.
為找出與洞庭湖生態經濟區生態承載力發展變化關聯性較高的評價指標,將根據MIEP模型的輸入與輸出做趨勢回歸分析.通過xi-ξ間的擬合關系,得到xi與ξ值的決定系數R2,發現趨勢回歸關聯性最好的3個指標分別為地下水資源量(C10)、人均水資源占有量(C11)和教育投資占GDP比重(C22).將地下水資源量2013年的實際值帶入擬合方程求得ξ為16.0059,然后根據其求得其他指標的理論值并與實際值對比后,結果如表 3所示.結果表明,指標的實際值與理論預測值之間的誤差均比較小,在一定程度上證明了MIEP模型預測復雜系統的潛力.在實際工作中,通過該模型可對未來發展進行預測分析,為管理決策人員提供參考.
3.4 MIEP模型與主成分分析法的比較
MIEP模型給出的是ξ值,而主成分分析法(丁揚,2014)給出的一個指數值,兩種評價方法雖然不能進行數值比較,但它們對洞庭湖生態經濟區2008—2012年生態承載力發展評價結果的趨勢基本相同,201年生態承載力水平劇烈下降,2011—2012年間逐漸回升(圖 6).二者的主要區別是本文使用的MIEP模型顯示,2012年生態承載力水平超過了2010年,而主成分分析法則相反.主成分分析法依靠每個主成分的貢獻率作為權重構造評價函數,但通常各主成分特征值的相差較大,使其方差貢獻差別較大,無法使所有指標完全綜合,主成分權重的設定帶有強烈主觀性,易使個別指標成為影響評價結果的決定性因素,耦合性差,因此,造成生態承載力水平受到水資源因素影響震蕩較大.

圖 6 MIEP模型與主成分分析法的比較
本文所使用的基于MIEP的系統動力學模型,不必預先確定各個指標的權重,在模擬過程中能自動調整各指標數據之間的耦合關系,不斷進行自組織作用,克服了其他方法權重確定的主觀性的缺陷;而且具有魯棒性,更適用于復雜系統的模擬分析,可以呈現出各種復雜系統的動態演化過程.具體參見 污水處理技術資料或污水技術資料更多相關技術文檔。
4 結論
本文從復雜系統組元相互作用的角度建立了評價生態承載力發展水平的MIEP模型,并運用該模型對洞庭湖生態經濟區2008—2012年的生態承載力發展情況進行了評價.結果表明,在此期間生態承載力呈總體上升的趨勢,其中,2008年和2009年兩年生態承載力水平基本一致,2010年呈現較明顯的上升,而2011年的生態承載力劇烈下降后在2012年呈現大幅回升.ξ值各分量的雷達圖揭示了洞庭湖生態經濟區復雜系統的演化結構,根據其變化判斷各指標貢獻程度的變化,通過對指標層雷達圖及準則層的分析,發現大幅波動的原因是2010年和2012年水資源方面的巨大優勢使這兩年資源環境承載力水平較高,從而引起生態承載力綜合水平的大幅提升.根據MIEP的工作機理,對該地人均水資源占有量(C11)和教育投資占GDP比重(C22)在2013年的發展情況進行預測,發現誤差較小,顯示了其預測生態城市建設發展的較大潛力.最后將本文的評價結果與主成分分析法結果進行了比較,發現MIEP模型更適用于復雜系統的分析研究,更能表現其動態演化的本質.
5 建議
由于水資源指標更易影響洞庭湖生態經濟區生態承載力綜合水平,因此,當地政府應著重提高其水資源承載力,如改變傳統的灌溉方式,加強節水的宣傳教育和推行節水工藝等.傳統工農業對環境影響較大,易造成水和大氣污染,因此,轉變經濟發展方式有助于生態承載力的提高.同時,還要加強環保監管力度,政策落實到位才能從源頭上遏制污染,提高環境質量,促進生態承載力的發展.
?