礦物基吸附材料是環境礦物材料的一個重要分支,是由一種或多種天然礦物及其改性產物經特定工藝技術制備而成的. 主要利用天然礦物原料的表面效應[1, 2]、 孔道效應[3, 4]、 離子交換效應[5]、 水合效應[6, 7]、 半導體效應[8, 9]、 納米效應[10, 11]等特性凈化環境. 然而,單一礦物的吸附能力有限,一般選擇那些吸附性能良好、 無放射性、 不易水解和揮發且沒有二次污染的無機非金屬礦物作為基材,經過定向改性制備成復合礦物吸附材料用于凈化環境污染物[12, 13, 14, 15]. 如何達到高效的吸附活性及循環使用活性是目前國際 上顆粒吸附材料研究中的兩個關鍵問題.
石英純化廢水是制備現代高科技領域不可替代的多功能材料——超高純石英的過程中原料純化所產生的工業廢水,為復雜體系的重金屬離子污染水體. 若直接排放,勢必將對動、 植物及人體都造成危害[16]. 雖然目前對含重金屬離子廢水的處理大多采用中和沉淀法將重金屬離子以沉淀形式析出,并作為危險廢棄物填埋進專門的場所[17],但仍存在一定的安全隱患,且關于此類廢水的吸附凈化研究鮮見報道. 因此研究有效脫除石英純化廢水中重金屬離子的方法顯得十分重要和迫切.
本研究利用改性層狀硅酸鹽礦物和改性炭質物作為基材,以含重金屬離子石英純化廢水為研究對象,制備一種可再生利用的高效吸附多孔顆粒材料,探討其凈化的技術方法與吸附機制,以期為后續制備一種可高效循環利用的礦物基吸附材料并用于凈化復雜體系污染水體奠定理論基礎.
1 材料與方法
1.1 主要試劑、 原料及儀器
主要試劑為:羧甲基纖維素鈉(CMC-Na,工業級),高氯酸(HClO4,優級純),濃硫酸(H2SO4,分析純),濃硝酸(HNO3,分析純),高錳酸鉀(KMnO4,分析純),溴化鉀(KBr,優級純),碳酸鈣(CaCO3,分析純),無定型硅土(Dia.,分析純); 分別采自遼寧省建平縣的改性層狀硅酸鹽礦物(Na-Ben.)及黑龍江雞西的層狀炭質礦物(Graph.); 超純去離子水.
主要實驗儀器為:SRJX-4-13型高溫馬弗爐,ZW09X-Z型造粒機,HZQ-C型空氣浴振蕩器等. 1.2 礦物基多孔顆粒材料制備[18]
礦物基多孔顆粒材料(mineral-based porous granulation material,MPGM)的制備方法為:將改性層狀硅酸鹽礦物、 層狀炭質礦物、 無定型硅土、 碳酸鈣與黏結劑(CMC-Na)按一定比例均勻混合,加入適量的水并攪拌均勻,造粒制成設定粒徑球狀顆粒材料(? 8 mm),低溫慢速干燥,得到復合吸附材料基體. 將該基體置于馬弗爐中,控制升溫速度為300℃ ·h-1,850℃,焙燒3 h,便得到MPGM. 1.3 樣品測試及表征
石英純化廢水中的金屬離子含量利用美國Perkin Elmer公司Optima 4300DV型等離子發射光譜儀進行測試分析; 吸附材料形貌結構分析測試采用德國蔡司公司Zeiss Ultra Plus型場發射掃描電子顯微鏡完成; 紅外光譜分析利用美國Nicolet公司的IS-10型傅立葉變換紅外光譜儀完成; 比表面積、 孔徑、 孔體積等采用美國麥克公司ASAP2020M全自動比表面積及孔隙度分析儀; 抗壓強度采用美國MTS公司產MTS810型陶瓷實驗機測試,其中加載速率為0.5 mm ·min-1. 1.4 吸附性能評價
將100 mL待處理的石英純化廢水加入到250 mL錐形瓶中,再加入已知質量的MPGM并將錐形瓶封口,放入恒溫空氣浴振蕩器中反應一段時間(振蕩頻率為120 r ·min-1),后濾除MPGM并將濾液以5000 r ·min-1的速度離心5 min,用等離子發射光譜儀測定其中各殘留重金屬離子的含量[19]. 并依式(1)計算各重金屬離子的吸附效率:
式中,η為各重金屬離子的吸附效率,%; c0為石英純化廢水中各重金屬離子的初始濃度,mg ·L-1; ce為吸附后各重金屬離子的殘留濃度,mg ·L-1.
由于未焙燒的MPGM遇水后幾乎全散,因此本研究未做焙燒前后MPGM吸附性能對比研究.
2 結果與討論
2.1 石英純化廢水檢測
本實驗所用選礦廢水為實驗室石英純化廢水,檢測結果如下. 2.1.1 pH
通過pHS-3D型pH計對石英純化廢水水樣進行檢測,其pH為0.14,顯強酸性. 2.1.2 重金屬離子含量
通過等離子發射光譜儀檢測石英純化廢水水樣,重金屬離子含量如表 1所示. 測試結果表明:重金屬離子成分復雜,且總含量高達88.118 mg ·L-1,尤以Fe、 Zn、 Mn、 As離子含量高,濃度遠高于工業廢水綜合排放標準[20]. 本研究主要討論含量高的4種重金屬離子吸附凈化特性與機制.

表 1 廢水中重金屬離子分析
2.2 MPGM性能表征
2.2.1 物理性能
從表 2中可知,MPGM具有多孔性、 低散失性,且抗壓強度及比表面積均較大等特點. 其中,低散失率(0.74%)和高抗壓強度(2.53 MPa)特性對再生利用極為有利. 如圖 1所示,按照IUPAC分類[21],MPGM的N2吸附-脫附等溫線為Ⅲ型,表明待測樣品主要存在較多的介孔(孔徑范圍為2~50 nm)及少部分的大孔(孔徑大于50 nm的孔)[22],且在3.5 nm附近呈現一個寬度較窄的尖峰,有利于特性吸附. 另外,在0.50~0.95的高壓區域存在H4型回滯環,與層狀礦物堆積形成的狹縫型孔有關.

表 2 MPGM物理性能測試結果

圖 1 MPGM樣品的氮氣吸附脫附等溫線和相應的孔徑分布曲線
2.2.2 形貌結構分析
圖 2為焙燒前后MPGM表面及橫斷面的掃描電子顯微鏡形貌圖. 從中可見,焙燒前后吸附材料各組分均勻分布,材料的骨架結構硅質礦物保持完好的晶體形貌特征. 比較4幅圖可發現,焙燒后的MPGM表面的孔結構十分發育,歸因于焙燒使基材中有機物揮發,炭質礦物中的C元素氧化為CO2,以及表面吸附水、 層間水、 結構水的逸出.

(a)、 (b)均為未焙燒樣品,其中(a)為外表面,×100,(b)為橫斷面,×2000; (c)、 (d)為850℃焙燒3 h樣品,其中(c)為外表面,×100,(d)為橫斷面,×2000 圖 2 MPGM的SEM圖像
另外,由圖 2中還可以發現,MPGM的孔分布較 為廣泛,且90%為20~60 μm范圍的微米孔,亦有微介孔分布(詳見表 2及圖 1). 大量孔洞的形成,造成MPGM內外表面形成晶格缺陷,成為不飽和鍵聚集區,該區實際上是一個能量過剩的活性區,具有極大的化學活性[23, 24]. 2.2.3 官能團分析
MPGM官能團分析是利用美國Nicolet公司的IS-10型傅立葉變換紅外光譜儀進行測試分析(如圖 3). 波數3453 cm-1 處為水分子中羥基的對稱伸縮振動特征吸收峰; 1633 cm-1為水分子H—O—H彎曲振動特征吸收峰,1085 cm-1和784 cm-1 分別為材料中Si—O—Si的對稱伸縮振動和彎曲振動特征吸收峰; 677 cm-1為材料中Si—O—Al的伸縮振動特征吸收峰; 611 cm-1和479 cm-1 分別對應的是Si—O—AlVI彎曲振動和Si—O—Fe伸縮振動特征吸收峰[25, 26]. 綜上可知,MPGM官能團以層狀硅酸鹽礦物的基團為主且Fe元素含量較高.

圖 3 MPGM的傅立葉紅外光譜圖
2.3 MPGM用量影響
在空氣浴振蕩器中,調節頻率為120 r ·min-1,溫度為35℃,反應時間為120 min的條件下,研究MPGM用量對石英純化廢水中重金屬離子吸附效率的影響. 結果如圖 4所示.

圖 4 MPGM用量對重金屬離子吸附效果的影響
由圖 4可知,隨著MPGM用量從1.0 g ·L-1增加到8.0 g ·L-1時,對各重金屬離子的吸附效率整體呈上升趨勢. 當低于5.0 g ·L-1時,隨吸附劑用量增加,Fe、 Mn、 As、 Zn的去除率明顯上升,Zn和Mn的尤為顯著,而由于MPGM中Fe元素含量較高,因此Fe的去除率呈緩慢、 波動式上升; 當MPGM用量約為5.0 g ·L-1時,4種重金屬離子的去除效率均達最高值,而后MPGM對4種離子的吸附效率略有下降; 當用量超過6.0 g ·L-1時,該值趨于平衡. 究其原因,極有可能是因為石英純化廢水的污染物成分復雜,不同于實驗室模擬的單一污染物體系,因此MPGM的表面效應、 孔道效應、 離子交換效應、 水合效應、 納米效應等協同或抑制作用亦較為復雜,而當MPGM用量為5.0 g ·L-1時前述效應的協同作用對4種重金屬離子的去除達到一個最優組合,因此均出現去除率的最大值.
縱觀MPGM對4種重金屬離子的吸附規律,吸附效率由高到低依次為Zn>Mn>Fe>As. 其中,重金屬離子競爭吸附是不可避免的,如:①當重金屬離子具有相同的核電荷數時,半徑大的離子可在pH低的情況下優先吸附; ②對于相同電荷的重金屬離子,吸附效率高低依次為二價金屬:Zn2+>Mn2+,三價金屬:Fe3+>As3+; ③競爭吸附與重金屬離子半徑相關,4種重金屬離子半徑可參見表 3. 在電荷效應的影響下,會使MPGM活性位的電子云發生變化而更易吸引重金屬離子,其由于重金屬離子的靜電斥力而具有離解趨勢. 半徑較大的重金屬離子的極化率大,變形性也大,而水分子本身也有很大的變形性,會使它們之間發生附加極化效應,其結果會促使原有的配位鍵過渡到共價鍵,增大MPGM對半徑較大的重金屬離子的吸附能力[27, 28].

表 3 4種重金屬離子半徑對照
2.4 pH影響
用濃度均為1.0 mol ·L-1 的NaOH和HCl調節石英純化廢水的pH分別約為2.0±0.1、 4.0±0.1、 6.0±0.3、 8.0±0.3和10.0±0.1,MPGM用量為5.0 g ·L-1,其余條件同2.3節. 研究廢水初始pH對MPGM吸附性能的影響. 結果如圖 5所示.

圖 5 pH對吸附效果的影響
由圖 5看出:①酸性條件下,MPGM對重金屬離子的吸附效率隨廢水初始pH的升高而逐漸增大; ②當pH在6.0~8.0之間時,研究體系中Mn、 Fe及As趨于吸附平衡,去除效率從高到低依次為Mn>Fe>As; ③Zn離子在pH 4.0與pH 10.0附近時出現兩個吸附平衡點. 這是由于Zn(OH)2屬于兩性氫氧化物所決定的,且高pH值時Zn的去除有較大提升,揭示了在復雜的重金屬離子污染體系中,強堿性條件下生成的高配位體ZnO2-2更有利于MPGM吸附凈化.
之所以提升pH值有利于廢水中重金屬離子的去除,主要原因有3點:①石英純化廢水中pH僅為0.14,此時小半徑的H+濃度較高,更易占據MPGM的活性位,不利于MPGM凈化石英純化廢水,因此重金屬離子的去除效率偏低(如圖 3),然而逐漸提升廢水中初始pH,H+濃度呈幾何級數下降,則H+的競爭吸附優勢迅速下降; ②強酸性條件下重金屬離子之間相互抑制、 相互競爭的情況比較顯著,而隨pH的增大,離子間相互競爭作用減弱[28]; ③重金屬離子在一定pH條件下,會產生氫氧化物沉淀,從而使重金屬元素從液相轉移至固相去除. 當pH從0.14逐漸上升到10.0時,隨水合絡離子中質子吸引作用增大,生成金屬氫氧化物沉淀速度加快,但不同重金屬離子的氫氧化物由于其溶度積常數(Ksp)不同而導致各Mm+與OH-結合開始沉淀和沉淀完全時的pH差異,詳見表 4.

表 4 氫氧化物沉淀和溶解的pH特性
綜上所述,MPGM吸附重金屬離子時,調節初始pH為8.0±0.3較為適宜.
2.5 吸附時間的影響
吸附時間對石英純化廢水中重金屬離子去除的影響(調節反應時間分別為20、 40、 60、 80、 100、 120、 140、 160 min). 結果如圖 6所示.

圖 6 吸附時間對MPGM吸附重金屬離子效率的影響
由圖 6可知,MPGM吸附石英純化廢水中4種重金屬離子隨吸附時間增加而上升,但吸附速率和 平衡吸附效率各有差異. 在反應的前80 min內,吸附速度快,吸附效率迅速上升; Fe、 Mn在80 min后吸附逐漸趨于平衡,而Zn、 As則需要100 min. 這與離子半徑和離子濃度是相關的.
整個吸附過程經歷兩個階段:第一階段:競爭吸附. 表現為離子半徑小、 濃度大的重金屬優先快速吸附,而離子半徑大、 濃度小的重金屬吸附達平衡時間較為滯后; 第二階段:慢吸附階段,主要是由于吸附接近平衡后,廢水中重金屬離子向吸附劑內表面吸附引起的[29]. 綜合考慮吸附速率與效率,以吸附時間100 min為宜. 2.6 MPGM脫附再利用初探
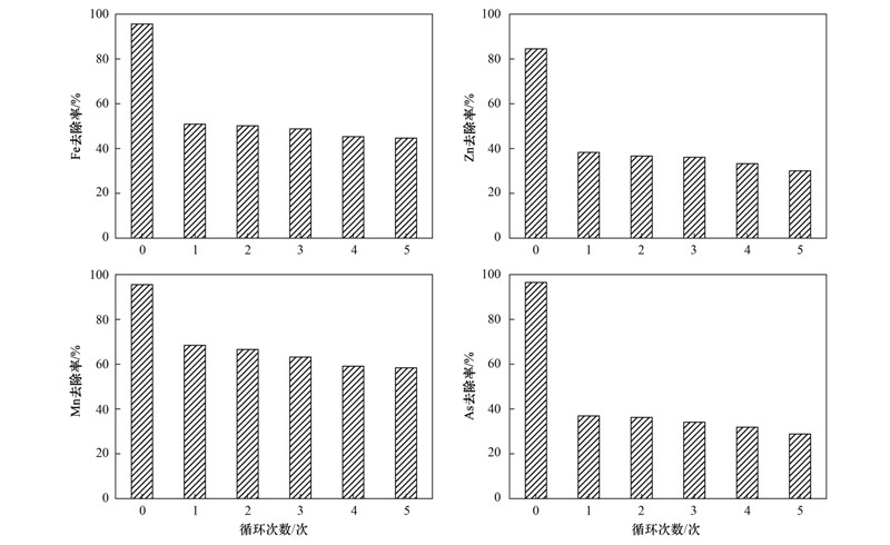
將吸附過重金屬離子的MPGM置于1.0 mol ·L-1的NaCl溶液中脫附反應12 h,用去離子水洗滌、 烘干后再利用. 結果見圖 7.

圖 7 循環利用次數對吸附效果的影響
由圖 7可知,脫附再利用1次后MPGM對石英純化廢水中Fe、 Zn、 Mn、 As的去除率下降幅度較大,而之后的循環利用效率略有下降,主要是4種金屬離子與MPGM之間存在較強的化學吸附作用,1.0 mol ·L-1的NaCl溶液很難將其完全脫附. MPGM循環利用吸附4種重金屬離子效率依次為Mn>Fe>Zn>As,基本符合離子半徑大小與離子濃度高低順序. 脫附方法、 效率與機制還有待深入研究. 2.7 吸附等溫線分析
為研究“MPGM-重金屬離子”表面的交互作用,本研究利用Langmuir和Freundlich兩個常用的吸附等溫線模型進行定量分析及預測.
兩種吸附等溫線模型方程的描述如式(2)和(3).
Langmuir吸附等溫線模型方程:
Freundlich吸附等溫線模型方程:
式中,qe為單位吸附劑的平衡吸附量(mg ·g-1),ce為當吸附反應達到平衡時溶液中吸附質的濃度(mg ·L-1),qm為吸附劑表面單層吸附的最大容量(mg ·g-1),KL為Langmuir常數(L ·mg-1); KF和n均是Freundlich吸附等溫線常數,前者代表吸附劑吸附量大小(即當KF值越大,則吸附量越大),由吸附質/吸附劑的特性、 環境溫度及吸附劑用量等決定,為有量綱常數,單位為mg ·g-1 ·(mg ·L-1)-1/n; 后者代表吸附模型的線性偏離度,與吸附液相/固相體系的性質有關,通常情況大于1,為無量綱常數.
由于在強酸性環境中重金屬離子之間相互競爭、 相互抑制的情況比較明顯,所以Langmuir及Freundlich吸附等溫線模型不能較好地擬合MPGM吸附石英純化廢水原水過程,這與Wu等[28]的研究結論相一致. 因此運用上述兩種吸附等溫線模型探究相關吸附機制時,本節采用最佳初始pH值條件下得出的數據進行擬合,結果如圖 8所示.

溫度為35℃±1℃ 圖 8 MPGM吸附重金屬離子的等溫線模型擬合曲線
通過圖 8的分析發現,Langmuir吸附等溫線模型與實驗數據的非線性擬合程度較高,相關系數(R2)均大于0.95,說明MPGM對上述4種重金屬離
子表現出較強的表面單層化學吸附[29],驗證了MPGM脫附再利用部分的分析. 從表 5中可以發現,MPGM吸附Fe、 Zn、 Mn、 As這4種重金屬離子的最大吸附量(qm,fitted)參數分別為23.52、 0.99、 0.69及0.21 mg ·g-1與實驗的平衡吸附量(qe,exp)變化趨勢一致,說明MPGM對4種重金屬離子吸附能力的順序依次為Fe>Zn>Mn>As.

表 5 MPGM對4種重金屬離子的吸附等溫線非線性擬合參數
2.8 吸附動力學 采用準一級吸附動力學模型(pseudo-first-order kinetic model)和準二級吸附動力學模型(pseudo-second-order kinetic model),對MPGM凈化石英純化廢水中4種重金屬離子進行吸附動力學研究,結果如圖 9所示.
兩種吸附動力學模型方程的描述如式(4)和式(5).
準一級吸附動力學模型方程:
準二級吸附動力學模型方程:
式中,qt為t時刻單位吸附材料吸附重金屬離子的質量,mg ·g-1; qe為平衡時單位吸附材料吸附重金屬離子的質量,mg ·g-1; t為吸附時間,min; k1為準一級吸附動力學常數,min-1; k2為準二級吸附動力學常數,g ·(mg ·min)-1.
如圖 9所示,MPGM對4種重金屬離子的吸附實驗數據與兩種吸附動力學模型擬合程度較高(相關系數R2>0.97). 數據的非線性模擬符合準二級動力學模型,是因為該模型能夠較好地描述固-液相體系中的吸附過程,但模擬曲線能夠較好地與準一級動力學模型擬合,可能是因為實驗用石英純化廢水中重金屬離子濃度與MPGM用量、 達到飽和平衡吸附的時間基本匹配[26]. 其模型擬合參數詳見表 6.

圖 9 MPGM對重金屬離子吸附動力學模型

表 6 非線性擬合MPGM吸附重金屬離子的動力學模型參數
實際上,石英純化廢水中重金屬離子的理化性質各異、 初始濃度不同,用一兩個吸附動力學表達式很難客觀描述所有重金屬離子的吸附速率. 因此對不同特性重金屬離子應當有不同的吸附動力學表達式. 建立復雜體系多金屬吸附動力學表達式的相關研究另文報道. 2.9 吸附熱力學
通過不同溫度(288、 298、 308、 318 K)條件下MPGM吸附4種重金屬離子的數據分析,計算出相關熱力學狀態參數,即吉布斯自由能變(ΔGθ)、 熵變(ΔSθ)、 焓變(ΔHθ)這3個參數,計算式可參見公式(6)和(7).

式中,R=8.314 J ·(mol ·K)-1為氣體常量; T為開氏溫度,K; KL為Langmuir常數,L ·mg-1.
MPGM分別對石英純化廢水中4種重金屬離子的吸附熱力學分析詳見圖 10和表 7. 隨著實驗溫度的升高,固相-液相吸附體系的ΔGθ隨之而降低,且均為負值,說明在15~45℃溫度下有利于反應的進行; ΔHθ均大于零,說明吸附過程均為吸熱反應; 吸附體系中ΔSθ均大于零,說明吸附過程伴隨著MPGM與4種重金屬離子結構發生了某種變化,不僅固-液界面系統的自由度增加,同時亦增加了MPGM與重金屬離子之間的親和力[29].具體參見 污水處理技術資料或污水技術資料更多相關技術文檔。

表 7 MPGM吸附重金屬離子的熱力學參數

圖 10 MPGM對重金屬離子吸附的吉布斯自由能與溫度關系
3 結論
本研究以兩種層狀礦物為基材制備了一種礦物基多孔顆粒材料(MPGM),其具備多孔徑分布、 大比表面積、 低散失率等優良特性,保留了層狀硅酸鹽礦物高吸附性能的官能團,且避免了粉體材料回收困難易于形成二次污染的問題,但再生吸附效率有待進一步研究提升. MPGM對于陽離子染料(MG)的吸附等溫線符合Langmuir模型,吸附動力學遵從準一級動力學模型和準二級動力學模型. 吸附熱力學參數分別為ΔGθ<0、 ΔHθ>0、 ΔSθ>0,說明吸附過程為吸熱反應,且在15~45℃溫度下有利于反應順利自發進行.(來源及作者: 武漢理工大學資源與環境工程學院 王恩文、雷紹民、張世春、黃騰)
