煉焦企業生產過程產生的焦化廢水中含有喹啉類氮雜環化合物,是典型的有毒難降解污染物[1, 2],也是造成其出水不能達標的關鍵因素[3, 4, 5]. 這主要是由于: ①傳統活性污泥法和生物膜法中所含多數微生物的酶系統不能識別喹啉的結構,因此很難將其去除[6]; ②含喹啉單元的化合物對許多微生物有毒害或抑制作用,從而影響其他污染物的去除效果. 采用生物強化技術,投加對目標污染物具有較強降解能力的微生物,可縮短處理系統馴化微生物的時間[7]; 有利于解除該污染物對其他微生物的抑制作用,加快其他污染物的去除. 國內外學者已篩選到一些喹啉降解菌,如Rhodococcus sp.、 Comamonas sp.、 Burkholderia picekttii、 Pseudomonas sp.等,并對其喹啉生物降解動力學和降解途徑[8, 9, 10, 11, 12]及其在焦化廢水生物強化處理的應用進行了研究[13, 14]. 這些研究對認識喹啉的降解機制和強化廢水中喹啉的降解有積極的作用,但有關Acidovorax sp.菌的研究主要見于對苯酚及苯衍生物的降解[15, 16, 17, 18],以喹啉為唯一碳源的研究報道僅見于Zhang等[19]對一個喹啉反硝化反應器中細菌群落結構的研究,目前該菌株對喹啉降解特性的研究未見報道.
本研究以某焦化廠廢水處理系統曝氣池中的活性污泥為菌源,篩選到1株對喹啉具有高效降解能力的Acidovorax sp.菌株,發現該菌能同時降解異喹啉、 苯、 吡啶、 苯酚等廣泛存在于焦化廢水中的芳香族化合物,并將其應用于實際焦化廢水的處理,以期為后期利用該菌對焦化廢水進行生物強化處理的工業化應用提供良好的生物材料和技術支持.
1 材料與方法
1.1 實驗材料
1.1.1 實驗菌源
喹啉降解菌DQS-01: 從某焦化廠污水處理系統曝氣池活性污泥樣品中篩選. 苯酚降解菌D2: 本實驗室分離篩選的高效苯酚降解菌,經鑒定為睪丸酮叢毛單胞菌Comamonas testosterone[20].
1.1.2 培養基
對文獻[21]所提供的無機鹽培養基配方進行改良,在微量元素儲備液中去掉NiCl2 ·6H2O和CoCl2 ·6H2O,改良的喹啉無機鹽培養基配方如下: Na2HPO4 4.26 g,KH2PO4 2.65 g,MgSO4 ·7H2O 0.2 g,CaCl2 0.02 g,MnSO4 ·7H2O 0.002 g,微量元素儲備液1 mL(主要成分: FeCl2 ·4H2O 1.5 g ·L-1,CuCl2 ·2H2O 0.002 g ·L-1,MnSO4 ·7H2O 0.1 g ·L-1,Na2MoO4 ·2H2O 0.024 g ·L-1,ZnCl2 0.006 g ·L-1,H3BO3 0.07 g ·L-1),去離子水1000 mL,pH=7.0. 滅菌后加入一定量喹啉(0.22 μm微孔濾膜過濾)作為菌種生長的唯一碳源和氮源.
LB培養基: 酵母膏5 g,蛋白胨10 g,NaCl 10 g,瓊脂粉10 g,蒸餾水1000 mL,pH=7.0.
1.2 菌種的篩選分離
將采集的活性污泥樣品加入無菌水中,在30℃、 150 r ·min-1的搖床培養箱中培養24 h,靜置后取10 mL上層清液接種于90 mL LB培養基中培養24 h; 然后以喹啉為唯一碳源和氮源,按10%的接種量將培養液轉接至無機鹽培養基上進行反復馴化. 喹啉溶液的初始濃度為50 mg ·L-1,以50 mg ·L-1梯度逐漸增大喹啉濃度至1000 mg ·L-1,篩選可以在改良的喹啉無機鹽培養基上進行生長的菌落,經平板劃線法分離純化得到純菌落.
1.3 菌種鑒定
形態學觀察. 將最終篩選得到的純菌落劃線接種于LB 固體培養基,30℃ 倒置培養24 h,觀察菌落形態; 挑取菌體進行革蘭氏染色,用熒光倒置顯微鏡(LEICA DMI400B)觀察菌體形態特征.
生理生化實驗. 參照文獻[22]進行實驗并對菌種進行鑒定.
分子生物學鑒定. 菌種的分子生物學鑒定由大連TaKaRa生物工程公司完成,通過對該菌株的16S rRNA基因進行擴增后對擴增產物進行測序,得到的序列與GenBank數據庫中的類似序列進行Blast比對,從而確定其分類地位.
1.4 分析方法
1.4.1 菌體生物量的測定
采用稱重法測量,取5 mL發酵培養液,用帶有0.22 μm濾膜的針筒式過濾器進行過濾,經蒸餾水洗滌3次,80℃烘干至恒重后測量.
1.4.2 喹啉降解率的測定
參考文獻[23, 24],采用紫外可見分光光度計(Biol-140,美國PE)在277 nm下檢測樣品中喹啉濃度. 以未加菌的滅菌喹啉無機鹽培養基為空白對照,將喹啉初始濃度記為A0,t時間后的喹啉濃度記為At,則:
1.4.3 COD降解率的測定
采用密封催化消解法[25],利用化學耗氧量測定儀(HH-6型,中國姜堰)進行COD的測定. 將溶液初始COD記為c0,t時間后COD記為ct,則:

1.5 環境因素對DQS-01菌降解性能的影響
挑取純培養菌落接種于500 mL LB培養基中過夜培養,使菌體活化及增殖. 將該菌液4000 r ·min-1下離心,沉淀用無菌水清洗3次以去除表面雜質,再轉移至無菌水中制備成一定濃度的菌懸液(生物量為150 mg ·L-1左右). 按一定的接種量加入到喹啉無機鹽培養基(喹啉初始濃度為300 mg ·L-1)中,在不同搖瓶轉速、 初始pH、 溫度下振蕩培養. 每組實驗做三組平行試樣,以未加菌的喹啉在同等條件下作為空白對照.
1.6 DQS-01菌降解譜范圍分析
以苯酚、 苯、 喹啉、 異喹啉、 吡啶為碳源底物,(NH4)2SO4為氮源,調整培養基中碳源與氮源的含量,使菌體生長初始C/N為5/1,取接種量5%,35℃、 150 r ·min-1振蕩培養. 同時設未加菌的滅菌培養液為空白對照.
1.7 DQS-01菌對實際焦化廢水的生物強化實驗
1.7.1 MBBR的啟動掛膜及穩定運行
采用直接低濃度啟動掛膜方法[26, 27],將來自焦化廠曝氣池污泥置于實驗室自制的MBBR反應器中[28],曝氣24 h(曝氣量為0.3 m3 ·h-1,以下同),將焦化廠調節池出水用蒸餾水稀釋,使其COD濃度約為 150 mg ·L-1,加入填料(Mutag BiochipTM,德國)進行曝氣,使活性污泥與填料(填充率為5%)[29]充分接觸; 48 h后棄掉部分混合液,再加入經稀釋后的焦化廢水,讓COD濃度保持在150 mg ·L-1左右; 采用持續增長進水濃度的方式以促進生物膜的增長成熟. 整個系統掛膜成功及穩定運行約需40 d左右,此時焦化廢水進水COD濃度約為600 mg ·L-1.
1.7.2 生物強化實驗
將活化的DQS-01菌、 DQS-01菌及本課題組篩選的高效苯酚降解菌D2所組成的混合菌株(生物量為1 ∶1)按接種量為10%(菌液/焦化廢水,體積比)的比例投入反應器中,按照1.7.1節的方法使MBBR處于穩定運行狀態后,以不投加降解菌的MBBR對焦化廢水的降解為空白對照,考察DQS-01及D2菌對焦化廢水的生物強化效果.
2 結果與分析
2.1 菌種分離、 篩選及鑒定
通過不斷增加無機鹽培養液中喹啉濃度,最終篩選到1株以喹啉為唯一碳源、 氮源及能源進行生長的菌株,該菌株在喹啉濃度為50~600 mg ·L-1的培養液中生長良好,當喹啉濃度大于600 mg ·L-1時,菌體生長緩慢直至不再生長.
該菌株在無機鹽平板培養基上呈規則圓形,邊緣整齊,表面光滑,菌落透明至乳白色,直徑1.0~5.0 mm. 經革蘭氏染色后在顯微鏡下觀察呈陰性,菌體細胞呈短桿狀,有的成對出現,大小為 (0.3~0.8) μm×(1.5~5.0) μm. 同時,對DQS-01菌進行生理生化鑒定,結果如表 1所示,確定該菌屬于食酸菌屬(Acidovorax sp.). 結合其16S rRNA基因序列分析,將該基因序列登錄到NCBI數據庫(登錄號為KP126996),得到的結果是該菌與燕麥食酸菌Acidovorax avenae相似度高達100%.

表 1 DQS-01菌的生理生化實驗結果
2.2 DQS-01菌生長及對喹啉的降解
以15%的接種量將DQS-01接種到初始喹啉濃度為300mg ·L-1的無機鹽培養基中,在120 r ·min-1、 30℃條件下恒溫培養,每隔一段時間取樣測菌體生物量及喹啉降解率. 實驗結果如圖 1所示,DQS-01菌在接種后能很快適應初始濃度較高的喹啉培養基并迅速進入對數生長期,48 h菌體生物量達到最大; 這段時間內喹啉的降解速率也最大. 因此,在考察各種環境因素對該菌降解性能影響實驗中均在菌體培養48 h時取樣.

圖 1 DQS-01菌的菌體生長曲線與喹啉降解率關系
2.3 環境因素對DQS-01菌降解性能的影響
2.3.1 接種量對喹啉降解性能的影響
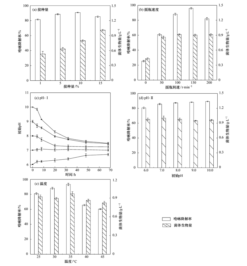
按1.5節所述,以1%、 5%、 10%、 15%的接種量將DQS-01接種到喹啉無機鹽培養基中,30℃、 120 r ·min-1振蕩培養48 h后,測定菌體生物量的變化及對喹啉的降解,實驗結果如圖 2(a)所示,接種量對喹啉降解率的影響較少; 而對菌體生長量的變化影響較大. 接種量為1%時,底物濃度相對較高,使菌體生長受到抑制,菌體生物量增長較慢導致其喹啉降解率不高; 當接種量大于10%時,菌體增殖速率加快,但由于菌體呼吸旺盛,體系溶解氧消耗過快會導致菌體較早進入衰退期,影響喹啉降解. 綜合考慮菌體生長及對喹啉的降解情況,選擇10%為最佳接種量.

圖 2 環境因素對DQS-01菌降解性能的影響
2.3.2 搖瓶轉速對喹啉降解性能的影響
按10%的接種量將DQS-01接入喹啉無機鹽培養液中,30℃恒溫培養,考察轉速對喹啉降解性能及生物量的影響. 實驗結果如圖 2(b)所示,當轉速較低時,溶解氧少,生物量及喹啉降解率都比較低; 隨著轉速的提高,溶解氧增多,此時菌體生長較快,菌體呼吸旺盛,喹啉降解率也有所提高; 但當轉速達到200 r ·min-1時,過高的氧分壓可能導致菌體生長提前進入衰退期或者對菌體產生毒害作用[30]而導致喹啉降解率下降. 因此,確定150 r ·min-1為最佳搖床轉速.
2.3.3 初始pH值對喹啉降解性能的影響
分別用1 mol ·L-1 HCl和NaOH調整無機鹽培養液的初始pH為6.0、 7.0、 8.0、 9.0和10.0,接種量10%、 150 r ·min-1、 30℃恒溫培養,考察不同初始pH條件下菌種生長及喹啉降解性能. 從圖 2(c)、2(d)可以看出,喹啉降解所需的最適pH與菌體生長的最適pH不同. 菌體生長的最適pH為7.0,而該菌在初始pH值為6.0~10.0的條件下對喹啉都有一定的降解,且在初始pH為中性及堿性條件下對喹啉的降解效果較好. 在不同的酸堿體系中,DQS-01的代謝途徑可能會有所不同. 初始pH為微酸性和中性時,體系pH變化較小; 初始pH值為堿性溶液的體系隨著培養時間的延長pH不斷降解從而向中性靠近[6]. 由于焦化廢水水質偏堿性,故初始pH應調整至8.0~10.0為宜,這與王培明等[31]的研究結果相同.
2.3.4 環境溫度對喹啉降解性能的影響
在接種量10%、 初始pH 8.0、 150 r ·min-1條件下考察溫度對喹啉降解性能及生物量的影響. 如圖 2(e)所示,菌體可在25~45℃范圍內生長,對環境溫度的適應性較寬. 但隨著培養溫度的升高,其喹啉降解率及菌體生物量都受到一定影響. 當培養溫度為35℃時DQS-01菌對喹啉降解率最高,菌體生物量也最大,因此確定35℃為最佳降解溫度.
2.4 DQS-01菌株降解譜的研究
在實際廢水處理系統中除喹啉外有多種污染物并存,對底物利用的廣譜性更有利于菌的生存以及實際應用. 從圖 3可知,DQS-01對不同芳香族化合物的降解程度由易到難依次為: 喹啉>異喹啉>苯>吡啶>苯酚. 從圖 3(b)菌種進入對數生長期的時間來看,DQS-01能迅速利用喹啉及異喹啉,其次是吡啶,在以苯酚為碳源時菌體生長速度最慢. 這一現象與以苯酚類化合物為主要成分的焦化廢水系統中,喹啉類化合物很難被降解相一致. 這可能是由于苯酚在代謝過程中所產生的代謝產物對喹啉降解酶系的活性有抑制作用.

圖 3 不同底物對DQS-01菌COD降解率及菌體生物量的影響
2.5 DQS-01菌對喹啉的降解動力學
在上述獲得的最佳環境影響因素條件下,研究了DQS-01以喹啉為唯一碳源、 氮源和能源的降解動力學. 在不同初始喹啉培養液中,用Haldane方程[式(1)所示]對該菌株的降解動力學進行了模擬.
式中,μ為細胞比生長速率(h-1); μmax為細胞最大比生長速率(h-1); S為限制性底物質量濃度(mg ·L-1); KS為半飽和系數(mg ·L-1); Ki為底物抑制系數(mg ·L-1),Ki越高則反映底物抑制作用越不明顯.
選擇喹啉初始濃度范圍為100~600 mg ·L-1,以μ-S作圖,實驗結果如圖 4所示. 隨著喹啉初始濃度的增加,菌體的比生長速率呈現先增大后減小的趨勢; 當喹啉初始濃度為202mg ·L-1時,菌體的比生長速率最大. 這是由于低喹啉濃度對菌體的抑制作用較弱; 當喹啉濃度增加,菌體生長受到的抑制越來越強烈,比生長速率迅速下降. 運用Origin軟件處理實驗數據,用非線性最小二乘法對實驗點進行擬合,得到Haldane方程動力學參數為:
μmax=0.640 h-1,KS=164 mg ·L-1,
Ki=253mg ·L-1 (R2=0.977)

圖 4 實驗數據與Haldane模型回歸曲線
2.6 DQS-01菌對焦化廢水降解的生物強化效果
為進一步了解DQS-01菌在實際焦化廢水處理中應用的可行性,按1.7.2節所述將菌株投入實驗室穩定運行的MBBR中,實驗結果如表 2所示.

表 2 DQS-01高效喹啉降解菌對焦化廢水降解生物強化效果1)
(1)對照組 焦化廢水的降解主要來自填料對污染物的吸附及生物膜上各種微生物的降解作用. 當系統運行至60 h時,降解率和降解速率達到最大; 但隨著系統運行時間的延長,附著在填料上生物膜開始增厚并從填料上解離下來,而且隨著焦化廢水中易降解有機物的減少,難降解有機物對系統中微生物的毒害作用進一步加劇,使COD降解率和降解速率有所下降.
(2)單獨投加DQS-01菌 在系統運行的0~12 h內焦化廢水COD降解速率較慢,這主要是由于焦化廢水中含量最高的苯酚類化合物的存在抑制了DQS-01菌的生長,此時苯酚類化合物的抑制作用占主導地位; 隨著降解時間的延長,苯酚類化合物濃度逐漸降低,其抑制作用被逐漸解除,COD降解速率逐漸提高至36 h達到最大,這與2.3節的結論一致. 運行36 h后,系統中苯酚類化合物已基本被降解,其他污染物對DQS-01菌的抑制作用占主導,因此COD降解速率開始下降.
(3)單獨投加本課題組篩選的高效苯酚降解菌D2 前12 h內COD降解速率最快,這是由于該菌株對苯酚類化合物降解性能較好,能在較短時間內將苯酚化合物降解掉. 當系統運行48 h后,體系內苯酚類化合物濃度變小,喹啉類化合物對D2菌生長的抑制作用越來越明顯,降解速率開始變得緩慢,至72 h時焦化廢水COD降解率僅為78.2%.
(4)投加混合菌株 在MBBR中添加單一高效降解菌對焦化廢水降解效果不是十分理想. 因此本實驗將高效菌株混合后用于焦化廢水處理,結果發現混合菌株在焦化廢水降解過程中有很好的協同作用——高效苯酚降解菌的存在解除了苯酚類化合物對喹啉降解菌的抑制作用; 而喹啉菌對喹啉的降解也降低了喹啉類化合物對苯酚降解菌的毒害作用. 在系統運行60 h后,對焦化廢水COD的降解率達到84.2%,出水COD值為93.8 mg ·L-1,已經達到煉焦工業污水排放的一級標準; 當系統運行72 h后,COD降解率達到87.4%. 具體參見 污水處理技術資料或污水技術資料更多相關技術文檔。
3 結論
從焦化廠活性污泥中篩選得到1株能以喹啉為唯一碳源、 氮源、 能源的革蘭氏陰性細菌DQS-01菌株. 該菌株經形態學觀察、 16S rRNA序列分析和系統發育分析鑒定為Acidovorax sp.,具有降解異喹啉、 苯、 吡啶、 苯酚等芳香族化合物的能力,降解譜較廣,可在喹啉濃度為50~600 mg ·L-1的溶液中生長,具有較高的耐受能力. 利用該菌株與D2菌株的協同作用,在MBBR系統中對實際焦化廢水中進行生物強化處理,系統運行60 h后其COD降解率可達84.2%,出水COD值為93.8 mg ·L-1,已經達到了煉焦工業污水排放的一級標準.(來源及作者:太原理工大學煤科學與技術省部共建國家重點實驗室培育基地 李靜、李文英)
