我國現有化學物質約4.6萬種,化學品的廣泛使用帶來了大量的環境問題. 為了防控化學品的風險,歐盟、 美國和中國都發布了化學品的管理法規,要求新化學物質在首次生產或進口前必須開展危害評估和暴露評估相結合的風險評估,我國還要求開展重點環境管理危險化學品的環境風險評估,依據風險評估的結果開展相應的管理. 暴露評估主要研究化學品的排放過程以及在環境中歸趨和分布,其中污水處理廠中化學品的歸趨過程和處理效率是風險評估的重要內容,決定了化學品的暴露濃度和風險水平[1].
雖然部分化學品在污水處理廠的去除率達70%以上[2],但是由于運行工藝、 化學品性質以及處理不完全等原因,STP處理后的出水中有機化學品仍然具有顯著的殘留濃度(>0.1 μg ·L-1)[3, 4]. 此外,化學品在STP中還可能吸附到污泥或者揮發性進入大氣,這兩種過程非真正的去除,只是化學品環境受納介質的轉變,對環境仍然具有較大的風險[5].
通過實際測定的方式評估化學品在STP中的暴露通常難度很大,一方面是因為環境介質多種多樣(如,水、 污泥、 大氣等),實際測定費時費力,且個別的實測數據代表性也不強; 另一方面,對于新化學物質,由于還未生產和使用,無法測定其在環境中的暴露水平. 因此化學品在STP中的暴露評估主要依靠模型進行預測. 國際上針對STP的操作條件建立了不同種類化學品的STP預測模型(見表 1),如:國際水協已經建立STP中預測碳、 氮和磷歸趨的活性污泥數學模型[6]; Urase等[7]、 Plósz等[8]分別構建了污水處理過程中藥物、 抗生素的歸趨動態預測模型; 文獻[9, 10, 11, 12]構建了外源性化學品在STP中的歸趨靜態預測模型,SimpleTreat模型[9]和STPWIN模型[10, 11]分別被歐盟和美國用于化學品環境管理登記或風險篩查過程.
?表 1 已有STP模型概述與分析
目前我國的化學管理中尚缺用于暴露評估的STP預測模型或軟件,主要原因是尚無與我國化學物質環境管理要求相匹配、 與我國環境條件和STP場景特征相匹配的模型或軟件. 用于風險管理的STP暴露預測模型需要遵循以下原則[1]:化學品輸入參數盡可能少,且輸入參數與管理要求相匹配; STP基本工藝、 暴露場景參數相對固定,具有典型代表性,可用于評估化學品的個體差異; 疑者從重的保守原則; 簡單、 易用. 國際水協[3, 6, 7, 8]等建立的STP動態模型不宜用于化學品風險評估,而SimpleTreat和STPWIN等模型[9, 12]在建模過程、 輸入參數、 環境條件和STP場景特征等方面都與我國存在較大差異.
STP中傳統活性污泥好氧處理工藝(O型工藝),已經有近90年的歷史,該工藝有機化學品去除率高、 污泥負荷高、 池容積小、 運行費用低、 穩定可靠,是我國STP工藝的重要工藝,因此根據化學品在STP中的揮發、 吸附、 降解機制,遵循STP暴露預測模型的基本原則,構建以O型工藝為基本過程的STP暴露預測模型,對評估化學品在環境中的暴露情況具有重要意義. 本研究基于O型工藝,參照我國新化學物質申報中所要求的基礎數據,根據化學品的揮發、 吸附、 降解等特性,依據質量守恒和逸度理論,研究建立適用于我國的C-STP(O)暴露預測模型,以期為研究化學品在STP中的歸趨及風險評估提供技術工具.
1 材料與方法
1.1 模型概念圖及質量守恒方程構建
O型工藝主要處理構筑物為初沉池、 曝氣池、 二沉池. 化學品從含有懸浮顆粒的廢水流入初沉池,停留一段時間后,一部分懸浮顆粒通過重力自然沉降為污泥并被排出,其余化學品在懸浮顆粒和水中達到分配平衡后流入曝氣池; 在曝氣池,由于大量污泥的存在,化學品可能發生降解,也可能因為曝氣而揮發進入大氣; 化學品流入二沉池后,通過重力沉降后固液分離,沉降的污泥一部分排出系統,一部分回流至曝氣池以保持曝氣池的污泥濃度. 未去除完全的化學品從上層清液即二級出水中流出并排入受納水體.
為了方便計算和表示各環境相,構建了模型概念圖(圖 1). 將各池體拆分為水相、 懸浮顆粒相、 沉積污泥相,由于曝氣池在持續的曝氣過程中污泥混合比較均勻,沒有沉積污泥,因此曝氣池只有水相和懸浮顆粒相. STP上方空氣流動比較均勻,可整體劃分為氣相,標記為箱1; STP與外部環境存在氣、 水的流入流出過程,將外部環境單獨標記為箱0. 圖 1中單向箭頭表示從i箱到j箱的平流過程,包括水、 水中懸浮顆粒、 空氣的流動以及初沉池和二沉池污泥的去除,平流過程不可逆; 雙向箭頭代表相鄰介質i和j間的擴散,由介質i和j的非穩態濃度驅動的,包括吸附和揮發; 假定降解過程主要發生在曝氣池. 由此概念模型由9箱、 15個平流過程、 6個擴散過程和1個降解過程組成.

圖 1 C-STP(O)模型概念示意
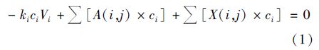
根據化學品風險篩查的目的,建立化學品不隨時間變化的預測模型,即穩態模型足以達到目的. 穩態下,各箱質量守恒見式(1).
式中,ki為第i箱中生物降解一級動力學常數(s-1); ci為第i箱中化學品濃度(mol ·m-3); Vi為第i箱的體積(m3); A(i,j)為環境介質平流量(m3 ·s-1); X(i,j)為環境介質擴散流量(m3 ·s-1).
根據概念模型的9個箱體,可以寫出一個九元一次的總質量守恒方程,具體見表 2. 如果A(i,j)、 X(i,j)、 c(0,2)和c(0,3)已知,解九元一次方程即可求解各箱中化學品濃度,進而計算化學品經污水處理后向大氣、 地表水、 污泥的排放比例及生物降解比例.
??
表 2 總質量守恒方程矩陣
1.2 模型參數
影響化學品在STP中歸趨的參數主要有:化學品固有特性參數、 環境條件和STP場景參數. 模型應設置較少的與化學品性質相關的輸入參數,符合化學品環境管理及風險篩查的要求. 為了在同一尺度下評估不同化學品的風險,模型應選擇代表我國環境條件和STP工藝特征的場景參數,包括環境介質容量、 進水水質等作為模型默認值,使模型簡單易用.
1.2.1 化學品固有特性參數
STP模型需要污泥-水分配系數(KP,L ·kg-1)、 空氣-水分配系數(KH,無量綱)及生物降解速率常數(k,s-1)等數據. SimpleTreat等模型使用吸附/解吸附系數(Koc,無量綱)或正辛醇/水分配系數(Kow,無量綱)表征化學品的吸附/解吸附,水溶解度(S,g ·L-1)、 摩爾質量(M,kg ·mol-1)、 蒸氣壓(P,Pa)或亨利常數(H,Pa ·m3 ·mol-1)表征揮發過程,生物降解性或生物降解半減期(DT50,d)表征生物降解過程. 我國“新化學物質環境管理辦法”要求提交理化性質及環境行為等參數,包括Koc、 快速生物降解性或固有生物降解性、 S、 M、 P、 Kow,未要求提交亨利常數數據,本研究選擇M、 Koc、 P、 S、 快速或固有生物降解性作為模型輸入參數,其測試方法見文獻[15, 16].
1.2.2 環境條件
根據文獻[17]2014年全國平均氣溫10.1℃,較常年(9.6℃)偏高0.5℃. 我國主要城市年平均風速都在1~2 m ·s-1,少數城市偏高. 溫度(T)定為283 K,風速(WS)定為2 m ·s-1.
環境條件主要影響化學品的揮發過程. 蒸氣壓根據溫度的變化,差異較大. 有必要將試驗溫度下的蒸氣壓校正到STP場景溫度,校準方法根據克拉貝龍-克勞修斯方程[17].
1.2.3 STP場景參數
(1)容積參數 歐盟的SimpleTreat模型使用服務人口乘以人均廢水產生量、 人均固廢量、 人均BOD產生量等間接數據計算STP的日處理能力和進水水質指標. 而在中國由于污水合流處理、 地域差異的影響以及數據可獲得性,采用平均日處理量(Q,m3 ·d-1)、 進水懸浮固體含量和進水BOD5可簡化模型并增加宜用性. 文獻[19]指出,全國4 436家城鎮STP,平均日處理量約為3.5萬m3 ·d-1,將Q定為35 000 m3 ·d-1.
根據“室外排水設計規范”(GB 50014-2006)[20],初沉池、 曝氣池、 二沉池水力停留時間(HRT)分別為2、 10、 4 h,高度(h,m)分別為4、 3、 3 m. 根據水力停留時間可計算各池體積(V,m3):V=Q×HRT/24,各池表面積(Area,m2)計算公式為Area=V/h,加和后的STP總面積(Area_STP,m2)為8 507 m2. 水體的體積為相應池體的體積,懸浮顆粒相的體積需要考慮懸浮顆粒濃度(SS,kg ·m-3)及污泥密度(RHO,kg ·L-3):V=V水×SS/(RHO×1 000); 假定沉積污泥的厚度為0.1 m,則沉積相的體積為V=0.1×Area. STP上方空氣高度(hair)假定為10 m,則空氣總體積V1=Area_STP×10=85 070 m3.
(2)水質和污泥參數 污水水質以及污泥性質主要影響化學品的吸附過程. 文獻[21]中獲得308個進水SS資料數據,均值約200 mg ·L-1,見圖 2(a); 281個進水BOD5資料數據,均值約150 mg ·L-1,見圖 2(b). 從文獻[22]中獲得274個出水SS數據,均值為12 mg ·L-1,見圖 2(c); 310個二級出水BOD5數據,均值為10 mg ·L-1,見圖 2(d). 一般STP的二級出水都排放進入地表水Ⅲ 類功能水域[23],因此中國的STP普遍執行“城鎮污水處理廠污染物排放標準”(GB 18918-2002)[24]一級B標準(BOD5和SS都為20 mg ·L-1). 由于大部分有機化學品都會顯著吸附于懸浮固體中隨二級出水排出,為了符合風險評估中保守評估的原則,模型中將二級出水SS定為20 mg ·L-1.

圖 2 中國STP進水水質文獻調研值
假定STP運行良好,初沉池有2/3的污泥發生沉降,同時13/36的BOD在初沉過程中被去除,剩余23/36的BOD進入曝氣池,曝氣池BOD5去除率(FBOD)為90%[25]. 好氧污泥在降解BOD的過程中會生產污泥,曝氣池污泥產生量(Psludge,kg ·d-1)[26]的計算見式(3).
式中,Ysludge為污泥產率(kg ·kg-1); BODO為曝氣池BOD5(g ·L-1); FBOD為BOD5去除率(無量綱); Ysludge為污泥產率(kg ·kg-1).
Mikkelsen等[27]研究表明Ysludge的計算見式(4).
式中,kSLR為污泥負荷(kg ·kg-1),可根據FBOD計算:lnkSLR=(0.818-FBOD)/0.042 2,當曝氣池FBOD=0.9時,kSLR為0.14 kg ·kg-1.
本研究選擇北京、 南京、 上海、 沈陽共10家污水處理廠,采樣測定了活性污泥的密度和有機碳含量. 結果顯示,有機碳含量分布在18%~31%,均為20%,初沉池污泥和曝氣池污泥稍有差異; 污泥密度為1.2~2 kg ·L-1,均值1.6 kg ·L-1.
模型中采用的環境條件和場景參數見表 3. 如果輸入數據缺乏,可推薦使用表 3中數據.
| 參數 | 符號 | 原水(RS) | 初沉池(PS) | 曝氣池(O) | 二沉池(SLS) | 空氣(air) | |||||
| A | B | A | B | A | B | A | B | A | B | ||
| 溫度i | T/K | 283 | 288 | ||||||||
| 日處理量i | Q/m3 ·d-1 | 35 000 | 2 000 | — | — | — | — | — | — | — | — |
| 風速i | WS/m ·s-1 | — | — | — | — | — | — | — | — | 2 | 3 |
| 水力停留時間i | HRT/h | — | — | 2 | 2 | 10 | 6.9 | 6 | 6 | — | — |
| 體積c | V/m3 | — | 2 917 | 167 | 14 583 | 575 | 8 750 | 500 | 85 070 | 4 000 | |
| 高度i | h/m | — | — | 4 | 4 | 3 | 3 | 3 | 3 | 10 | 10 |
| 面積c | Area/m2 | — | — | 729 | 41.6 | 4 861 | 191.7 | 2 917 | 167 | 8 507 | 400 |
| 面積占比c | Farea | — | — | 0.086 | 0.104 | 0.571 | 0.479 | 0.343 | 0.418 | — | — |
| 曝氣速率i | AR/m3 ·s-1 | — | — | — | — | 0.13 | 0.13 | — | — | — | — |
| 懸浮顆粒密度i | RHO/kg ·L-3 | 1.6 | 1.5 | 1.6 | 1.5 | 1.6 | 1.3 | 1.6 | 1.3 | — | — |
| 懸浮顆粒濃度i | SS/kg ·m-3 | 0.2 | 0.4 | 0.067 | — | 3 | — | 0.02 | 0.03 | — | — |
| 懸浮相體積c | V/m3 | — | — | 0.098 | 0.02 | 21.88 | 1.77 | 0.088 | 0.01 | — | — |
| 沉積相體積c | V/m3 | — | — | 7.29 | 4.17 | — | — | 29.17 | 16.67 | — | — |
| 5日生化需氧量i | BOD5/g ·L-1 | 0.15 | 0.27 | 0.128 | — | 0.0128 | — | 0.0128 | — | — | — |
| 有機碳含量i | foc | 0.18 | 0.15 | 0.18 | 0.37 | 0.19 | 0.37 | 0.19 | — | — | — |
| 1)A:C-STP(O)模型; B:歐盟SimpleTreat模型; 上標中,i:輸入參數; c:模型計算參數; —:不適用 | |||||||||||
表 3 C-STP(O)模型和SimpleTreat模型環境條件和場景參數
1.2.4 中國和歐盟STP暴露場景參數差異分析
歐盟SimpleTreat和US EPA的STPWIN模型是國際上常用的STP暴露評估模型,STPWIN模型沒有暴露場景參數的介紹,歐盟SimpleTreat模型參數比較系統,國內現階段主要使用SimpleTreat模型預測化學品的歸趨,中國與歐盟參數場景參數的差異將會對結果差生明顯的差異. 中國STP進水BOD、 SS、 foc顯著低于歐盟,低BOD和低SS使污泥產量較少,低foc使污泥吸附化學品量減少,最終中國場景參數使C-STP(O)模型預測的污泥對化學品的吸附比例降低,二級出水中歸趨比例增加. 中國平均環境溫度為283 K,略低于歐盟288 K,化學品的揮發性損失略小,對于非揮發性化學品,差異不顯著. 中國STP日處理量平均值為35 000 m3 ·d-1,遠高于歐盟2 000 m3 ·d-1,對于相同排放量的化學品,C-STP(O)預測的STP中的化學品濃度將是SimpleTreat預測值的1/17.
1.3 質量守恒方程及求解 1.3.1 平流
(1)空氣 假定STP上方空氣流入速度和流出速度相同,則空氣流速由風速、 污水處理廠的面積和大氣高度共同決定,計算公式見式(5).
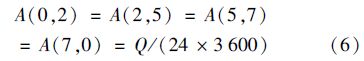
(2)水流 各池體的水流流速與污水日處理量Q成正比,計算見式(6).
(3)懸浮顆粒流和污泥流 不同池體之間懸浮固體的流速用相應的水流速率和懸浮固體濃度計算,為了統一量綱,計算中引入污泥密度(RHO),A(0,3)、 A(6,8)、 A(8,0)計算公式相似,以A(0,3)為例,計算見式(7).
在初沉池中有2/3的懸浮顆粒沉降下來,其余1/3的懸浮顆粒進入曝氣池,則A(3,6)=1/3A(0,3),A(3,4)=A(4,0)=2/3A(0,3). 進入二沉池的懸浮顆粒,一部分隨二級出水流出,一部分沉降為污泥,沉降后的污泥,一部分作為剩余污泥排出,另一部分回流到曝氣池,質量守恒方程分別見式(8)、 (9)和(10).
每日產生的剩余污泥量(Ssludge)為流入曝氣池的污泥和曝氣池污泥產生量之和減去二級出水中流出污泥量,計算公式見式(11).
1.3.2 擴散
擴散過程由兩個相鄰的環境介質的非平衡濃度決定,STP中擴散過程包括污泥-水(吸附)和空氣-水體系(揮發和曝氣). Mackay創建了描述擴散過程的逸度方法[13],擴散流量X(i,j)的計算見式(12).
式中,D(i,j)指i箱到j箱的遷移系數[mol ·(s ·Pa)-1]; Zi為i相的逸度容量[Z,mol ·(m3 ·Pa)-1]計算.
逸度容量的概念類似于比熱容,Z值高的相(可能是底泥或魚)能吸收大量的化學品,卻能保持低的逸度. 化學品在兩相的遷移系數,可應用惠特曼雙阻力理論,該理論假設化學品在相內遷移速度較快,遷移的限速步驟來自于遷移相和被遷移相兩相的界面阻力,且總阻力為兩相界面阻力之和[14]:1/D=1/D1+1/D2. 逸度理論認為[14]化學品在兩相(如氣-水)中的分配系數(KH)為氣相逸度容量(Z1)除以水相逸度容量(Z2). 因此,與濃度模型相比,逸度模型的優點主要為計算與求解比較簡單,且適用于由任意多個環境介質構成的環境系統.
(1)吸附
污泥-水分配系數(KP,L ·kg-1)為平衡狀態下化學品在污泥中逸度容量(Zs)和水中逸度容量(Zw)之比[14]:
Kp=Zs/Zw
污泥的逸度容量為:
Z3=Z4=Z6=Z8=Z9=Kp×RHO/H
水的逸度容量為:
Z2=Z5=Z7=1/H
化學品在污泥中的吸附主要取決于污泥有機碳含量(foc),不同性質的污泥其化學品的Kp值不同,通常采用經foc歸一化后的污泥/水吸附系數(Koc)表征化學品的吸附行為:
Koc=Kp/foc
化學品吸附過程有3種吸附模型:Langmuir模型、 Freundlich模型和線性模型,在低濃度時(即濃度<1 μg ·L-1),可使用線性模型[28]. 對于Koc無法測定的新化學物質或者缺乏數據的現有化學品,可根據Kow進行估算[29],最經典的估算方法為:
Koc=0.5×Kow
根據惠特曼雙阻力公式,假定化學品在水相和懸浮顆粒相中達到了吸附平衡,污泥-水之間的D值由吸附速率(kabs,s-1)決定,
kabs=ln2/t1/2
式中t1/2為污泥吸附解析平衡一般所用的時間. 由于曝氣加劇了吸附解析的速度,可以認為曝氣池t1/2為360 s,初沉池和二沉池為t1/2為3 600 s. 則吸附D值[14]計算見式(13).
(2)揮發和曝氣
純物質的揮發性可用蒸氣壓或者沸點表征,但是這有別于化學品在水中的揮發過程. 水相中,平衡狀態下化學品在大氣中和水中的分配系數KH計算公式為[14]:
KH=P/(RTCw)
可以看出,化學物質在水氣之間的分配不僅與P有關,還與S有關. 因此可以使用亨利常數(H):
H=P×M/S
表征化學物質在氣水界面的分配[30]. 新化學物質申報中H為非基礎數據,可根據P、 M、 S計算. 由此,空氣逸度容量為:
Z1=1/(RT)
式中R為氣體常數,8.314 J ·(mol ·K)-1. 水的逸度容量為:
Z2=Z5=Z7=1/H
水-氣之間的遷移速率D(1,2)和D(1,7)值計算見式(14)[14].
式中,Kair為空氣傳質系數(2.78×10-3 m ·s-1),Kwater為水傳質系數(2.78×10-5 m ·s-1). 曝氣池D值計算見式(15)[31]:
式中,kaerator為曝氣池揮發速率常數,為表面揮發速率常數(ksurf)和曝氣揮發速率常數(kstrip)兩部分之和,
kaerator=ksurf+kstrip
這意味著化學品在曝氣池中的損失大部分來自于曝氣而非表面揮發. 表面揮發速率ksurf為[31]:
氣提揮發速率常數根據Hsieh等[32]研究結果,用曝氣速率計算:
kstrip=8.9×10-4(AR/3 600)/VOH1.04
1.3.3 降解
化學品降解機制比較復雜,污水處理廠中低濃度化學品一般遵守一級動力學方程或Monod方程. Monod方程認為,某一微生物的比生長速率與基質(化學品)濃度相關,即化學品的降解不僅與其本身相關,還與微生物的生長過程相關,Monod方程中相關參數測定比較復雜. 目前國際上普遍認可的生物降解性測試方法為經濟與合作組織提出的生物降解性篩選試驗方法,包括快速生物降解性和固有生物降解性. 快速生物降解性是一種嚴格的篩選試驗,如果化學品在快速生物降解性中達到通過水平,則在STP中可以完全礦化. 該測試方法簡單、 可靠,其結果基本可以外推到STP及環境中的降解性[33, 34].
本研究中假定化學品的降解遵守一級動力學方程,用一級動力學方程的降解速率(k)計算化學品的降解過程. 如果無法獲得STP中化學品的k,可依據生物降解性篩選試驗結果外推至STP中的k. OECD301、 302試驗中接種物濃度為10~100 mg ·L-1范圍,而STP生化反應池的懸浮固體含量為2 000~4 000 mg ·L-1,化學品在STP生化反應池的降解速率將遠遠高于篩選試驗. 有研究認為[35],STP中生物降解速率正比于接種物中細胞數量,可以通過接種物濃度的關系計算STP中k,計算見式(16). k=k301,302× [細胞濃度]STP [細胞濃度]301,302 ×a (16) 式中,a為外推系數.
目前歐盟和美國根據快速生物降解性及固有生物降解性測試結果,制定了外推標準以獲得化學品在STP中的k,分別被用于SimpleTreat和STPWIN模型. 如表 4所示. 歐盟外推標準分為4級,k分別為1、 0.3、 0.1和0 h-1,而美國外推標準分為5級,k分別為0.69、 0.23、 0.069、 0.023和6.9×10-5 h-1,分別對應DT50為1、 3、 10、 30、 10 000 h. 歐盟和美國標準降解速率基本處于相同水平,美國標準稍微嚴于歐盟. 根據作者研究經驗及已有研究結果[35, 36],由于篩選試驗條件的嚴格性,固有生物降解率達到20%,在污泥濃度較高的STP中一定可以發生降解,如Simonich等[37]發現水楊酸芐酯等4種具有固有生物降解性的化學品,在STP中降解去除率可以達到95.1%~99.8%. 因此歐盟將k設為0過于苛刻,美國的設置標準更為科學,本模型推薦使用美國的外推標準獲取k.
??
表 4 歐盟和美國生物降解性篩選試驗結果外推STP中降解速率常數的標準 [34]
1.4 STP暴露濃度實際采樣分析
酚類化學品因具有環境激素類效應、 且容易在地表水中檢出[38],對生態環境具有潛在風險. 測定了5種不同歸趨特性的酚類化學品在以傳統活性污泥法為基本工藝的JinSh污水處理廠中的去除率. 采集上海JinSh污水處理廠原水及二級出水水樣,將水樣置于1 L棕色玻璃瓶內運回實驗室,用鹽酸調節pH值達到2±0.2,并用0.45 μm孔徑玻璃纖維膜抽濾,取500 mL水樣用固相萃取(Oasis HLB)小柱進行固相萃取. 先用甲醇活化固相萃取小柱,再用10 mL的去離子水淋洗HLB小柱,上樣速度約為5 mL ·min-1. 上樣結束后繼續抽真空30 min使其干燥,用10 mL甲醇溶液洗脫,洗脫液用氮氣吹干,然后用甲醇 ∶水(1 ∶1)定容到1 mL,渦旋振蕩2~3 min,按照文獻[39]的方法采用HPLC-MS/分析水樣中苯酚類化學品濃度. 標準溶液峰面積與質量濃度的線性關系良好(R2≥0.998),方法定量限為2.0~20 ng ·L-1,添加濃度為20 μg ·L-1時,方法回收率為70.3%~102.7%.
2 模型驗證及應用 2.1 文獻數據驗證模型
Monteith[40]和Hannah等[41]研究了1,1,1-三氯乙烷等26個化學品在傳統活性污泥中的去除率,本研究收集了這26個化學品的H、 lgKow以及生物降解性篩選試驗數據[42],并按照US EPA的外推標準獲取了在STP中的k. 26個化學品的驗證數據見表 5.
| 參數 | 符號 | 原水(RS) | 初沉池(PS) | 曝氣池(O) | 二沉池(SLS) | 空氣(air) | |||||
| A | B | A | B | A | B | A | B | A | B | ||
| 溫度i | T/K | 283 | 288 | ||||||||
| 日處理量i | Q/m3 ·d-1 | 35 000 | 2 000 | — | — | — | — | — | — | — | — |
| 風速i | WS/m ·s-1 | — | — | — | — | — | — | — | — | 2 | 3 |
| 水力停留時間i | HRT/h | — | — | 2 | 2 | 10 | 6.9 | 6 | 6 | — | — |
| 體積c | V/m3 | — | 2 917 | 167 | 14 583 | 575 | 8 750 | 500 | 85 070 | 4 000 | |
| 高度i | h/m | — | — | 4 | 4 | 3 | 3 | 3 | 3 | 10 | 10 |
| 面積c | Area/m2 | — | — | 729 | 41.6 | 4 861 | 191.7 | 2 917 | 167 | 8 507 | 400 |
| 面積占比c | Farea | — | — | 0.086 | 0.104 | 0.571 | 0.479 | 0.343 | 0.418 | — | — |
| 曝氣速率i | AR/m3 ·s-1 | — | — | — | — | 0.13 | 0.13 | — | — | — | — |
| 懸浮顆粒密度i | RHO/kg ·L-3 | 1.6 | 1.5 | 1.6 | 1.5 | 1.6 | 1.3 | 1.6 | 1.3 | — | — |
| 懸浮顆粒濃度i | SS/kg ·m-3 | 0.2 | 0.4 | 0.067 | — | 3 | — | 0.02 | 0.03 | — | — |
| 懸浮相體積c | V/m3 | — | — | 0.098 | 0.02 | 21.88 | 1.77 | 0.088 | 0.01 | — | — |
| 沉積相體積c | V/m3 | — | — | 7.29 | 4.17 | — | — | 29.17 | 16.67 | — | — |
| 5日生化需氧量i | BOD5/g ·L-1 | 0.15 | 0.27 | 0.128 | — | 0.0128 | — | 0.0128 | — | — | — |
| 有機碳含量i | foc | 0.18 | 0.15 | 0.18 | 0.37 | 0.19 | 0.37 | 0.19 | — | — | — |
| 1)A:C-STP(O)模型; B:歐盟SimpleTreat模型; 上標中,i:輸入參數; c:模型計算參數; —:不適用 | |||||||||||
| 性質 | 驗證物質 | H1)/Pa ·m3 ·mol-1 | lgKow2) | DT503)/h | C-STP(O)預測值/% | 文獻去除率/% | 預測偏差/% | ||||
| 空氣 | 水 | 污泥 | 降解 | 去除率 | |||||||
| 四氯化碳 | 2 932 | 2.64 | 3 | 68 | 11 | 0.7 | 20 | 89 | 74 | -15 | |
| 1,1,1-三氯乙烷 | 1 472 | 2.49 | 10 | 74 | 16 | 0.6 | 9 | 84 | 85 | 1 | |
| 溴仿 | 1357 | 1.19 | 1 | 41 | 9 | 0.1 | 50 | 91 | 65 | -26 | |
| 1,1,2-三氯乙烷 | 1 183 | 2.53 | 10 | 71 | 18 | 0.6 | 10 | 82 | 85 | 3 | |
| 乙苯 | 887 | 3.13 | 1 | 35 | 10 | 1.2 | 54 | 90 | 93 | 3 | |
| 甲苯 | 679 | 2.69 | 3 | 57 | 15 | 1 | 28 | 85 | 90 | 5 | |
| 揮發性 | 1,1-二氯乙烯 | 628 | 1.79 | 1 | 30 | 11 | 0.2 | 59 | 89 | 94 | 5 |
| 氯仿 | 382 | 1.97 | 1 | 23 | 12 | 0.3 | 65 | 88 | 86 | -2 | |
| 七氯 | 353 | 5.27 | 100 | 51 | 33 | 17 | 0 | 67 | 65 | -2 | |
| 1,4-二氯苯 | 159 | 3.4 | 10 | 43 | 35 | 2.7 | 19 | 65 | 70 | 5 | |
| 對氯苯 | 159 | 3.4 | 1 | 13 | 13 | 1.7 | 72 | 87 | 94 | 7 | |
| 1,2-二氯乙烷 | 121 | 1.48 | 3 | 20 | 29 | 0.2 | 51 | 71 | 84 | 13 | |
| 鄰苯二甲酸(2-乙基己基)酯 | 1.73 | 7.5 | 1 | 0 | 8 | 64 | 28 | 92 | 87 | -5 | |
| 熒蒽 | 0.21 | 5.22 | 3 | 0 | 33 | 16 | 51 | 67 | 95 | 28 | |
| 芘 | 0.92 | 5.18 | 10 | 0 | 56 | 18 | 26 | 44 | 95 | 51 | |
| 五氯苯酚 | 0.08 | 5.05 | 1 | 0 | 16 | 11 | 73 | 84 | 96 | 12 | |
| 吸附性 | 鄰苯二甲酸二丁酯 | 0.05 | 4.72 | 1 | 0 | 16 | 7.7 | 76 | 84 | 88 | 4 |
| 菲 | 0.58 | 4.57 | 1 | 0 | 16 | 6.6 | 77 | 84 | 95 | 11 | |
| 蒽 | 3.96 | 4.54 | 30 | 4 | 73 | 12 | 12 | 27 | 80 | 53 | |
| 林丹 | 0.15 | 3.7 | 100 | 0 | 96 | 4.3 | 0 | 4 | 18 | 14 | |
| 萘 | 43 | 3.37 | 1 | 6 | 15 | 1.6 | 77 | 85 | 97 | 12 | |
| 富馬酸二甲酯 | 43 | 3.37 | 10 | 20 | 50 | 2.8 | 26 | 50 | 85 | 35 | |
| 2,4-D | 2.0×10-5 | 3.13 | 3 | 0 | 38 | 1.9 | 60 | 62 | 60 | -2 | |
| 其它 | 異佛樂酮 | 0.58 | 1.7 | 1 | 0 | 17 | 0.2 | 82 | 83 | 98 | 15 |
| 苯酚 | 0.05 | 1.46 | 1 | 0 | 18 | 0.2 | 82 | 82 | 86 | 4 | |
| 雙(2-氯乙基)醚 | 2.89 | 1.12 | 1 | 1 | 17 | 0.1 | 82 | 83 | 80 | -3 | |
| 1)H計算公式:H=P×M/S; 2)lgKow計算公式:lgKow=lgKoc+0.3; 3)DT50計算公式:DT50=ln2/k | |||||||||||
表 5 C-STP(O)模型預測值與文獻試驗值比較
模型預測差異在20%為可接受范圍[43],26個 化學品中預測偏差絕對值小于20%的為21個,預測準確率為81%. 預測偏差絕對值大于20%的為5個,分別為蒽(53%)、 芘(51%)、 富馬酸二甲酯(35%)、 熒蒽(28%)、 溴仿(-26%). 以蒽為例,經STP處理后,分配比例分別為空氣(4%)、 水(73%)、 污泥(12%)、 降解(12%),由于蒽的H=3.96 Pa ·m3 ·mol-1,揮發性不是特別強,空氣中4%的分布比例也較為符合,因此預測值與實測值差異主要為污泥吸附和降解過程. 生物降解影響因素較多,受環境條件、 STP運行狀況、 化學品毒性、 化學品濃度、 污泥濃度和微生物構成生物降解性差異較大,很難準確測定化學品在STP中的生物降解性.
預測偏差絕對值大于20%的5種化學品中有4種化學品,文獻實測值高于本模型預測值,且這4種化學品的DT50為3~30 h,屬于篩選試驗中可降解但非快速生物降解類物質. 因此根據外推標準,模型采用了較低的生物降解速率,模型預測出較少的生物降解去除率. 但在實測中,這些物質可能表現出較高的生物降解速率,導致實測去除率高于本模型預測值. 由于快速生物降解試驗條件的嚴格性,化學品未達到快速生物降解性通過水平并不能表明其在環境中不可生物降解[16]. Guhl等[44]比較了快速生物降解性和固有生物降解試驗結果與污水處理廠模擬試驗結果之間的符合性,發現80%的化學品結果比較一致. 其余10%~20%的化學品沒有通過篩選試驗,但是在模擬試驗中發生降解. Painter等[45]研究結果表明由于篩選試驗結果的嚴格性,部分篩選試驗中未降解性的化學品在STP中的降解率亦可達到90%以上. 因此可以認為,上述4種化學品預測結果的差異是因為篩選試驗外推得到的降解速率未能充分反映其在STP中的降解性,這種差異是因為模型輸入參數k的不確定性引起,非模型預測結果原因,如果輸入參數準確,如使用試驗測定的活性污泥中生物降解速率常數,則模型本身預測結果應更能符合實際情況.
2.2 實測數據驗證模型
JinSh污水處理廠工藝為傳統活性污泥法,5種酚類化學品去除率結果見表 6. 5種酚類化學品去除率為37.9%~98.5%,C-STP(O)預測去除率為44%~96%,SimpleTreat模型預測去除率為78%~90%,C-STP(O)模型預測值與實測值絕對差值為2.5%~6.3%,SimpleTreat模型預測值與實測值絕對差值為0.2%~43%. 由于C-STP(O)模型中BOD、 SS、 foc等參數小于SimpleTreat模型,對于5種中等吸附性的酚類化學品(lgKoc為3.17~4.54),C-STP(O)模型預測的的污泥吸附比例相對于SimpleTreat模型偏小.
?表 6 5種苯酚類化學品在STP中去除率實測值和預測值比較
對特辛基苯酚實測值、 C-STP(O)預測值、 SimpleTreat預測值分別為37.9%、 44%、 81%,相比SimpleTreat模型,C-STP(O)預測結果差異較大. 一方面,是因為C-STP(O)在吸附性參數上更符合中國實際情況,另一方面,對特辛基苯酚28 d生物降解率>60%,10 d觀察期降解率<60%,SimpleTreat模型k=0.3 s-1,而C-STP(O)模型采用的k=0.23 s-1,說明C-STP(O)的k取值為標準也較為合理.
2-甲基-5-異丙基苯酚在JinSH STP進水中檢出濃度最高,為2 670 ng ·L-1,2,4-二叔戊基苯酚檢出濃度最低,為34.0 ng ·L-1,雖然不同化學品暴露濃度水平差異較大,但是C-STP(O)模型預測結果與實測值都較為一致.
化學品在污水處理廠中除了能夠發生吸附、 揮發、 生物降解外,還可能發生水解和光解,這也會導致模型預測結果與實測結果產生差異. 鑒于大多數化學品具有較小的水解和光解速率,且在新化學物質申報中,光解速率非基礎數據,因此C-STP未考慮水解和光解的影響.
2.3 化學品在C-STP(O)中分布規律
為了研究不同吸附性、 揮發性化學品在C-STP(O)中的歸趨. 將化學品降解性設置為0(持久性有機化學品),然后通過輸入不同的lgKow和H,分析C-STP(O)模型向水、 大氣、 污泥的排放比例預測值,結果見圖 3.

H為亨利常數(Pa ·m3 ·mol-1)圖 3 C-STP(O)模型中lgKow和H對化學品分配比例的影響
當疏水性增加時,即lgKow從-1增加到10,排放到水中化學品比例逐漸減少,排放到污泥的比例相應增加. 在lgKow為3~9范圍內,排放到水中的化學品比例迅速減少,排放到污泥的比例迅速增加. 表明,隨著lgKow增加,化學品主要去除過程為污泥吸附,導致向水體和大氣的排放比例降低. McCall等[46]研究了化學品在土壤中的遷移能力,同時按照lgKoc值對化學品在土壤中的遷移能力進行了分級,當lgKoc>3.3(lgKow>3)時,化學品在土壤中具有極低的移動能力,較好的符合C-STP(O)的預測結果.
C-STP(O)預測結果顯示,在無污泥吸附時(lgKow為1~3),當H從1 Pa ·m3 ·mol-1增加到100 Pa ·m3 ·mol-1,化學品排放到水中的比例大量減少,排放到空氣中比例的增加,化學品傾向于揮發進行大氣. 根據Whiteman雙阻力理論,當H=25 Pa ·m3 ·mol-1時,化學品在液相和氣相中的遷移阻力相等,H>25 Pa ·m3 ·mol-1時,化學品在氣相中的遷移阻力低于液相,揮發限速步驟為水相的遷移速率. 當H=2.5 Pa ·m3 ·mol-1時,水相的阻力為氣相阻力的十分之一,氣相遷移速率可以忽略. 由于化學品在空氣中的遷移阻力較小,因此,非揮發性化學品的遷移阻力都來源于氣相,使得化學品不容易從水中揮發到空氣中. 水的H=0.04 Pa ·m3 ·mol-1,當化學品H低于該值時,化學品的揮發速率低于水的揮發速率,在水的蒸發過程中,化學品會在水中濃縮,化學品成為真正的非揮發性化學品[14].
而在H變化的過程中吸附到污泥中的比例變化不明顯,分布曲線幾乎重疊在一起,表明亨利常數的改變幾乎不影響污泥對化學品的吸附量.
2.4 3種化學品的歸趨行為預測
選擇3種不同性質的化學品:1,1,2-三氯乙烷(易揮發)、 萘(易降解)、 鄰苯二甲酸(2-乙基己基)酯(DEHP)(易吸附),用所建C-STP(O)模型預測在STP中的歸趨,結果見圖 4.

(a)1,1,2-三氯乙烷; (b)萘; (c)鄰苯二甲酸(2-乙基己基)酯 圖 4 C-STP(O)模型中不同特性化學品的歸趨
1,1,2-三氯乙烷lgKow=2.53,吸附性較小(lgKow<3),可以看出原水中化學品在水相中的比例為99.2%,在懸浮固體中的比例為0.77%. H=1 183 Pa ·m3 ·mol-1,揮發性極大,在初沉池、 曝氣池、 二沉池揮發比例分別為4.52%、 63.4%和3.40%,曝氣過程中此類化學品的揮發比例非常大. 該物質揮發進入大氣后,很難降解,且會消耗臭氧層,已在全球范圍內限制使用.
萘的lgKow=3.37,原水中化學品在懸浮固體中的比例為2.09%,呈現一定的吸附作用. 萘的H=43 Pa ·m3 ·mol-1,屬于易揮發物質,因此初沉池揮發比例為2.09%,但是由于萘的降解性非常好(DT50=1 h),因此,其在曝氣池中主要發生降解,揮發比例只有2.3%. 北京6家STP污泥中萘的檢出含量[47]為0.01~0.18 mg ·kg-1,該值也表明,由于降解的原因,污泥不是萘主要的歸趨介質.
DEHP的H=1.73 Pa ·m3 ·mol-1,揮發性較小,lgKow=7.5,吸附性極強,從圖 3中看出原水中化學品在懸浮固體中的吸附比例高達75%,因此在初沉池沉降污泥的去除率就達到50.0%,總的污泥去除率為64%. 此類吸附性化學品從二級出水排放進入地表水中后,會吸附進入水體沉積物中,如2000年在太湖12個點采集的沉積物樣品中[48],DEHP檢出含量為2.22~23.93 mg ·kg-1. 長江武漢段干流[49]中DEHP濃度為0.011~54.7 μg ·L-1,沉積物中含量為0.4~323 mg ·kg-1,黃河干流[50]中DEHP濃度為0.34~24 mg ·L-1,沉積物中含量為9.3~51 mg ·kg-1,都呈現從水相向沉積物轉移的較強趨勢,由于疏水性極強,微生物很難利用,在環境中的降解速率較慢.具體參見 污水處理技術資料或污水技術資料更多相關技術文檔。
3 結論
(1)調研了我國STP的典型場景參數,溫度=283 K、 風速=2 m ·s-1、 日處理量=3.5萬m3 ·d-1、 進水BOD5=0.15 g ·L-1、 進水SS=0.2 kg ·m-3、 出水SS(dw)=0.02 kg ·m-3、 曝氣池BOD5去除率=90%、 污泥密度(dw)=1.6 kg ·L-3、 污泥有機碳含量為0.18~0.19.
(2)以STP中最簡單的傳統活性污泥法為基礎工藝,根據化學品的揮發、 吸附、 降解特性,依據質量守恒和逸度理論,將環境介質劃分為9箱,建立了STP暴露預測模型C-STP(O).
(3)模型僅需輸入亨利常數、 生物降解速率常數、 吸附系數即可實現化學品歸趨和暴露預測. 模型還使用了亨利常數、 吸附系數的估算方法以及生物降解性的外推方法.
(4)模型驗證結果表明,C-STP(O)能準確預測化學品在STP中揮發、 吸附、 降解、 二級出水的分配過程和分布比例,模型預測結果的不確定性主要為生物降解速率常數.(來源及作者:環境保護部南京環境科學研究所 周林軍 劉濟寧 石利利 馮潔 南京工業大學環境學院 徐炎華)
