水生生態系統中,溶解有機氮是營養物質循環中的重要環節[1, 2],不僅可以與溶解無機氮之間相互轉化,而且是一類潛在的可被生物利用的重要營養源. 其中,一些小分子量的DON如尿素、 溶解游離態氨基酸、 核酸等已被證明是可以被浮游植物直接吸收利用[3, 4, 5, 6],對浮游植物生長、 種群演替及初級生產力的影響不容忽視. 其中,總溶解態氨基酸是構成溶解有機質的重要組成部分,其構成和豐度可用來指示DOM生物可利用性的潛力[7, 8].
膠州灣位于黃海之濱,是中國北方海區典型的半封閉海灣. 自20世紀70年代末以來,隨著青島市社會經濟的高速發展,陸源污染物排放總量不斷增加,富營養化已成為膠州灣海域最嚴重的環境問題之一,氮污染是導致膠州灣海域富營養化的關鍵因子[9]. 目前,關于膠州灣氮污染物的來源、 構成和分布研究側重于溶解無機氮,而忽視了溶解有機氮對膠州灣氮污染的貢獻.
為減少陸源排污,環膠州灣已經建成和運行多個公共污水處理廠,污水處理量達到114萬t·d-1,占入膠州灣污水總量的90%[10]. 在2008年后,為減少氮污染物的排放,環膠州灣各污水處理廠經過升級改造,相繼增加了硝化/反硝化系統; 盡管這些脫氮工藝可能對DIN特別是氨氮的去除十分有效,但對其他形態氮包括硝態氮和DON的去除率往往較低[11, 12]. 研究表明,經污水處理廠處理后的廢水進入近海水體后,一方面,其中DON可通過微生物降解作用和光化學作用轉化為小分子量的DON和DIN; 另一方面,通過鹽度調節作用,將原吸附于腐殖質上而難以被生物利用的氨氮以自由態釋放,這些過程都增大了氮的生物可利用性,從而加重近海氮污染負荷和富營養化程度[13]. 然而,目前尚未對環膠州灣污水處理廠排污口污水中DON的構成和生物可利用性進行系統研究.
本研究通過在不同季節對直排入膠州灣的4個公共污水處理廠排放口不同形態氮的調查,比較分析排入膠州灣不同公共污水處理廠TDN的構成,并以TDAA的構成及其在DOM中的豐度作為指標,評價所排放DON的生物可利用性.
1 材料與方法
1.1 膠州灣簡介
膠州灣位于山東半島南岸,水域面積約320km2,灣口狹小,最窄處僅為3.1 km,水深較淺,平均水深僅8.8 m,最大水深為64 m. 青島市主城區環膠州灣而建,膠州灣不僅是青島市社會經濟發展的重要承載體,也是青島市農業、 工業和生活污水的主要承納體,約占青島市面積的65%的陸域所產生的污染物通過河流和排污口進入膠州灣[9]. 20世紀70年代末以來,伴隨著青島市經濟持續高速發展,人口不斷增加,陸源污染物排放數量持續增多,導致膠州灣水質不斷惡化,引發了赤潮(綠潮)災害頻發等一系列生態環境問題[9, 14].
1.2 直排膠州灣污水處理廠簡介
目前,所調查區域的直排入膠州灣污水處理廠都位于膠州灣東部人口密集的建成區,各污水處理廠的集污范圍、 處理量和處理工藝等見圖 1和表 1.

圖 1 直排膠州灣污水處理廠集污范圍和采樣站位示意
?表 1 直排膠州灣公共污水處理廠集污區范圍和處理工藝簡介
1.3 樣品采集和處理方法
分別于2012年7月、 2012年11月、 2013年3月及2013年5月在直排膠州灣4個污水處理廠排放口進行取樣分析,采樣站位如圖 1所示. 用有機玻璃采水器采集排放口水樣5 L,0~4℃冷藏保存并在4 h內轉移到實驗室用全玻璃濾器過濾,濾膜孔徑為0.7 μm(GF/F玻璃纖維濾膜,英國Whatman公司),并在使用前450℃下灼燒4 h; 將所得濾液轉入潔凈的玻璃瓶中,-20℃保存,用于總溶解態氮(TDN)、 硝態氮(NO3--N)、 亞硝態氮(NO2--N)、 銨態氮(NH4+-N)、 溶解有機碳(DOC)和總溶解態氨基酸(TDAA)的測定.
1.4 樣品分析方法
NO3--N、 NH4+-N及NO2--N分別通過鎘銅還原法[15]、 次溴酸鈉法[15]和重氮-偶氮法[16]測定; DOC、 TDN根據高溫催化氧化方法進行測定[17],所用儀器為TOC-VCPH分析儀,以鄰苯二甲酸氫鉀和硝酸鉀分別作為DOC和TDN測定的標準品. 每個樣品平行測定6次,相對偏差小于0.5%. 溶解有機氮為TDN與溶解無機氮的差值,其中DIN為NH4+-N、 NO2--N和NO3--N三者之和.
氨基酸通過柱前鄰苯二甲醛衍生后高效液相色譜法進行分離測定[18],所用儀器為e2695型高效液相色譜儀并配置以熒光檢測器和Agilent分離柱. 所用標準品為14種氨基酸混標,共分離檢測14種氨基酸,包括天冬氨酸、 谷氨酸、 絲氨酸、 組氨酸、 甘氨酸、 蘇氨酸、 精氨酸、 丙氨酸、 酪氨酸、 纈氨酸、 甲硫氨酸、 苯丙氨酸、 異亮氨酸、 亮氨酸,相對偏差在3%~5%.
1.5 數據處理方法
利用Origin 8.0軟件繪制相關參數柱狀分布; 數據統計分析是應用SPSS 16.0.軟件進行,相關性分析是利用皮爾森相關系數法進行相關性分析,若P<0.001(雙邊檢驗),說明參量之間具有明顯相關性.
2 結果與討論 2.1 直排膠州灣污水處理廠不同季節TDN含量和構成特征
直排膠州灣的各污水處理廠排放口不同季節TDN含量變化如圖 2所示. 可以看出,各污水處理廠不同季節排放口TDN濃度和構成有所不同,其中,李村河污水處理廠和海泊河污水處理廠季節差異顯著,而婁山河污水處理廠和團島污水處理廠差異相對較小,但基本上呈現3月和11月高、 5月和7月低的變化特征. 對于海泊河污水處理廠,其排放口3月TDN最高,達3 580.65 μmol·L-1,其次為11月,達1 262.50 μmol·L-1; 而5月和7月相差不大,分別為526.73 μmol·L-1和624.45 μmol·L-1; 相應地,TDN的構成也有顯著差異,3月以DON為主,摩爾分數高達88.75%,DIN摩爾分數僅為12%,DIN中以還原態的NH4+-N和NO2--N為主,而其余3個季節TDN中以DIN為主,摩爾分數在65.4%~97.9%,DIN中以NO3--N為主,占比都在69%以上. 3月海泊河污水處理廠TDN含量顯著高于其他季節且構成以具有還原態氮(包括DON、 NH4+-N和NO2--N)為主,表明該污水處理廠的生化處理工藝對氮的生物氧化作用效果不佳. 同樣,李村河污水處理廠排放口TDN濃度和構成也有較大差異. 實際上,調查期間這兩個污水處理廠正處于擴容和改造階段,導致其污水負荷和處理工藝尚不穩定. 而團島污水處理廠和婁山河污水處理廠處理工藝較為穩定,其排放口不同季節TDN差異不大.

圖 2 直排膠州灣各污水處理廠不同季節TDN的濃度和構成
另外,調查結果表明,海泊河污水處理廠排放口不同季節氨氮含量明顯高于其他污水處理廠,這可能是由于該污水處理廠采用AB法即兩段活性污泥法工藝,對生活污水中氨氮處理排放執行《城鎮污水處理廠污染物排放標準》(GB 18918-2002)中一級B指標,即氨氮≤8mg·L-1的要求,而其它3個污水處理廠均采用改進的A2/O工藝,可以滿足該標準中一級A指標即氨氮≤5mg·L-1的要求[19, 20, 21, 22, 23].
2.2 直排膠州灣污水處理廠不同季節DON生物可利用性潛力評價 2.2.1 基于DOC/DON分析直排膠州灣污水處理廠排放口有機質生物可利用性
DOC/DON可以作為指征DOM生物可利用性的一個重要參數. DOC/DON 值低,表明有機質礦化程度低,生物可利用高,反之則表明有機質礦化程度高,生物可利用低[24, 25]. Pagilla等[26]研究結果表明,DOC/DON≤11時,DOM具有較高的生物可利用性潛力,對受納水體的氮污染具有顯著影響. 膠州灣各污水處理廠不同季節水體中DOC/DON變化差異較大,分布在0.2~26.2 mol·mol-1之間,年平均值為(5.05±6.39) mol·mol-1(圖 3),不同季節DOC/DON的平均值分別為(9.78±11.92) mol·mol-1 (5月)、 (6.90±2.52) mol·mol-1(7月)、 (1.77±0.93) mol·mol-1(11月)和(1.76±2.32) mol·mol-1 (3月). 整體而言,11月和3月有機質的生物可利用性較5月和7月高,可能是由于這兩個季節溫度較低,未達到污水處理池中硝化/反硝化過程的適宜溫度(30℃左右)[27].

圖 3 入膠州灣污水處理廠排放口不同季節DOC/DON值
對于環膠州灣各污水處理廠的DOC/DON,只有5月海泊河污水處理廠和團島污水處理廠出口大于11 mol·mol-1,而其余季節各污水處理廠出口都小于11 mol·mol-1,表明有機質具有一定的可礦化和生物可利用性潛力; 特別是各污水處理廠排放口在3月和11月時都低于5 mol·mol-1,與美國伊利諾斯州污水處理廠和波蘭北部污水處理廠(1.1~3.2 mol·mol-1)排污口中DOC/DON值接近[26, 28],表明這些污水處理廠的有機質具有較高的生物可利用性潛力.
2.2.2 直排膠州灣污水處理廠排放口中氨基酸豐度和構成對DON生物可利用性指示
(1) 基于氨基酸在有機質中豐度指示DON生物可利用性潛力
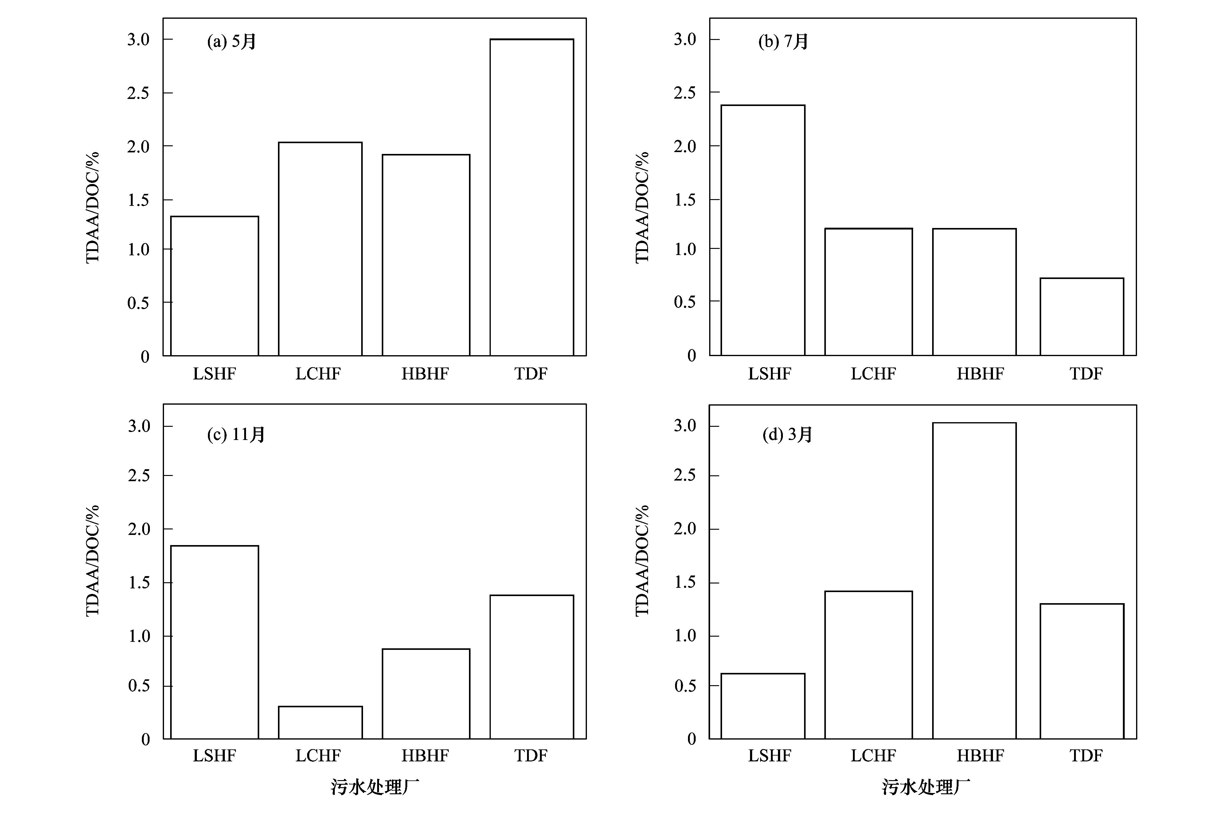
作為溶解有機質(DOM)中易于生物降解的組分,TDAA在DOM中的占比可作為DOM生物可利用性潛力的評價指標,其值越高,表明DOM的生物可利用性潛力越大[7, 8]. 由于DOC的測定誤差小于DON,本研究以TDAA中所含碳在DOC中的摩爾分數即x(TDAA/DOC)來評價入膠州灣各污水處理廠排放口不同季節DOM的生物可利用性. 結果表明(圖 4),直排膠州灣各污水處理廠排放口不同季節TDAA/DOC值差異較大,分布在0.33%~3.02%之間,平均值為1.54%±0.78%,這與長江水體(1.79%~2.60%)[29]和美國Atchafalaya河水(0.94%~2.95%)相近,而高于Mississippi河(0.85%~1.40%)[30].

TDAA/DOC表示TDAA中所含碳在DOC中的摩爾分數圖 4 直排膠州灣各污水處理廠排放口不同季節氨基酸中所含碳在DOC中占比
Davis等[31]通過生物降解現場培養實驗,分析了DOM降解前后TDAA的豐度,提出TDAA/DOC值為1.60%和1.10%時可分別作為有機質易降解DOM 和半易降解DOM(Semi-labile DOM,S-DOM)的評價標準,以水體中TDAA/DOC值與標準值相減,二者差值再除以TDAA/DOC的占比可以大體估算S-DOM和L-DOM的比例[30, 31]. 據此方法估算出直排入膠州灣各污水處理廠排污口水體不同季節L-DOM有較大差異,其中,3月海泊河污水處理廠、 5月團島污水處理廠以及7月婁山河污水處理廠排放口L-DOM較高,摩爾分數分別達到46.95%、 46.71%和32.85%; 5月李村河污水處理廠和海泊河污水處理廠、 11月婁山河污水處理廠L-DOM較低,摩爾分數分別達到21.91%、 16.55%和12.60%,其余季節各污水處理廠排放口水體無L-DOM. 而以S-DOM標準衡量,則直排入膠州灣各污水處理廠排污口水體在不同季節具有S-DOM,3月、 5月、 7月和11月的平均摩爾分數分別達到31.11%、 46.97%、 20.50%和0.44%. 這與應用DOC/DON指示入膠州灣各污水處理廠排放口DOM具有一定生物可利用性的結果基本一致. 需要指出的是,DOM生物可利用性與DOM的來源和受納水體密切相關. 由于入膠州灣各污水處理廠DOM來源與河流有較大差異,且膠州灣海域微生物構成等與密西西比河流入的墨西哥灣有所不同,具有高生物可利用性的TDAA/DOC標準值的確定最好通過在膠州灣現場進行的生物降解實驗來確定.
(2) 氨基酸構成
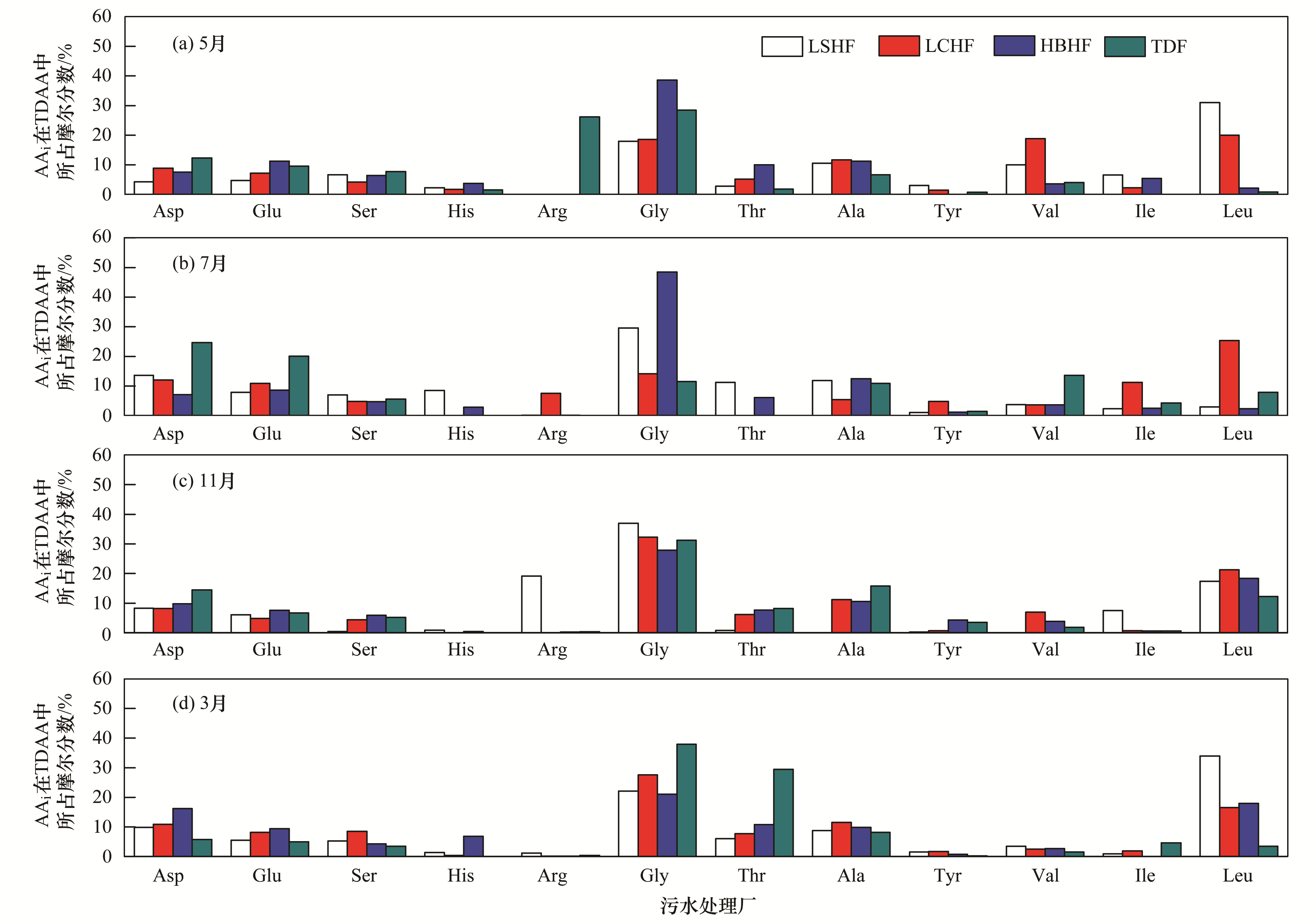
盡管直排膠州灣各污水處理廠排放口污水中氨基酸酸絕對豐度有所差異,但所檢測出的12種氨基酸在TDAA中摩爾分數排序基本一致,其中,Gly的含量最高,達到27.76%以上; 其次為Leu,占比在14.61%左右,再次為Asp、 Ala、 Glu、 Thr、 Ser和Val,摩爾分數在5.25%~10.86%之間,而His、 Arg、 Ile和Tyr含量較低,摩爾分數在3.50%以下(圖 5),這與黃滿紅等[32]應用氨基酸分析儀所測定的生活污水中的氨基酸組成由所不同,該研究表明生活污水中Glu、 Asp、 Ala、 Val和Leu含量較高. 污水中氨基酸構成不同,這一方面可能與污水的來源不同有關,另一方面,也與污水處理廠排放口污水經生化降解過程有關,在此過程中,一些易降解的氨基酸組分相對含量降低,而相對難降解的氨基酸組分則被富集,導致氨基酸相對豐度發生變化.

AAi/TDAA表示每種氨基酸(Asp、 Gly、 Ser、 His等12種)在TDAA中的摩爾百分比; Asp:天冬氨酸; Gly:谷氨酸; Ser:絲氨酸; His:組氨酸; Arg:精氨酸; Gly:甘氨酸; Thr:蘇氨酸; Ala:丙氨酸; Tyr:酪氨酸; Val:纈氨酸; Ile:異亮氨酸; Leu:亮氨酸圖 5 直排膠州灣各污水處理廠排放口不同季節氨基酸的構成
水體中氨基酸的構成和相對豐度與不同種類氨基酸的生物可利用性有關,因此,氨基酸的組成可以粗略指示有機質的降解程度[33, 34]. 環膠州灣各污水處理廠排放口中Gly含量最高,這可能是由于微生物細胞壁中富含Gly[35],相對于細胞質中的氨基酸,Gly較難被生物降解,因此,隨著DOM生物降解程度的加重,Gly相對豐度會進一步增大[34, 36, 37]. 比如,海泊河污水處理廠3月TDN較高(圖 2),DOC/DON值較低(圖 3),Gly含量較低,表明其DOM未經過深度生物降解; 而7月該污水處理廠TDN含量較3月顯著降低,DOC/DON值和Gly含量則較3月顯著増高,表明7月該排放口污水中DOM發生明顯的生物降解. 另外,作為TDAA的重要組成部分,組氨酸(His)富含于微生物細胞質中[35],較其他種類氨基酸易于降解,因而His含量隨DOM生物降解加劇和生物可利用性減小而減小. 進一步發現表明His/TDAA與TDAA/DOC呈正相關(n=16,R2=0.586 1,P<0.01,圖 6),表明His/TDAA與TDAA/DOC一樣,可作為DOM生物可利用性潛力的指標. 這與Zhang等[38]應用氨基酸構成和豐度對長江口及其鄰近海域DOM生物可利用性的研究結果基本一致.具體參見 污水處理技術資料或污水技術資料更多相關技術文檔。

圖 6 直排膠州灣各污水處理廠排放口TDAA/DOC與His/TDAA的相關性
3 結論
(1)直排膠州灣污水處理廠排放口水體中TDN濃度及其構成因季節和污水處理廠工藝不同而具有顯著差異,TDN的變化范圍為413.10~3 580.65 μmol·L-1,并基本呈現3月和11月月高、 5月和7月低的季節變化特征,其中,DON占比的變化范圍在2.14%~88.75%之間.
(2)直排膠州灣污水處理廠排放口5月、 7月、 11月和3月的DOC/DON的平均值分別為(9.78±11.92)、 (6.90±2.52)、 (1.77±0.93)和(1.76±2.32) mol·mol-1,DOC/DON值較低,表明DOM具有較高的生物可利用性,可能會加重膠州灣海域氮污染.
(3)直排膠州灣各污水處理廠排放口不同季節TDAA/DOC值差異較大,分布在0.33%~3.02%之間,具有生物可利用DOM的摩爾分數則在0.44%~46.97%之間; 其中,TDAA中His/TDAA可作為評價DOM生物可利用性潛力的指標.(來源及作者:中國海洋大學海洋化學理論與工程技術教育部重點實驗室 孔秀君?? 張鵬 楊南南 梁生康)
