1 引言
活性污泥法是污水處理廠最為常用的處理工藝之一,而沉降過程的泥水分離是工藝處理過程中的重要處理單元.研究發現,活性污泥沉降性惡化會造成污泥易流失、出水懸浮物增加、污水處理能力降低等問題,一旦發生污泥沉降性惡化需相當長的時間才能恢復正常.在實際應用中以污泥容積指數(SVI)來表征活性污泥沉降性,但SVI僅能從宏觀上評價活性污泥,而對于活性污泥的微觀特征卻難以表征.一般認為影響活性污泥沉降性的微觀因素主要有:絲狀菌、胞外多聚物(EPS)、污泥絮體表面性質和形態結構、絮體大小分布特點和污泥濃度等.這些微觀因素的綜合作用決定了活性污泥的宏觀沉降性能.其中,污泥絮體形態學的分析容易轉化為工程技術,因此,已有學者提出利用圖像分析技術從微觀層面對活性污泥沉降性問題進行研究,建立污水處理系統中宏觀參數和微觀特性的相互聯系,從微觀角度解釋污泥沉降性變化的原因.
由于污泥絮體的結構、形態、大小具有多樣性,且用于表征污泥特性的微觀參數較為多元化,各參數表示的信息重疊部分較多,故污泥絮體微觀表征具有一定的復雜性.應用主成分分析(PCA)方法討論了絮體形狀和污泥沉降性能的關系,結果表明,利用PCA方法可很好地對眾多絮體形狀參數的數據集進行降維,為解決污泥絮體微觀表征問題提供了思路,并可結合多元線性回歸方法對污泥沉降性進行預測.Mesquita等應用PCA方法,根據因子得分分布特點識別活性污泥系統運行的異常情況,包括絲狀菌膨脹、針狀絮體、粘性膨脹,并采用了PCA和偏最小二乘回歸(PLS)方法對混合液懸浮固體濃度(MLSS)和SVI進行在線預測,認為污泥沉降性與游離絲狀菌含量、聚體大小、聚體形狀有較為顯著的相關性,明確了以活性污泥微觀參數表征宏觀特性的可行性.
但目前研究采用的模型較為復雜、結果不夠直觀,并且沒有考慮到絮體密實性和污泥濃度的影響.針對以上存在的問題,本文通過實驗室規模反應器采集樣本,從絮體形狀、大小、密實性等微觀特征著手,借助PCA方法對絮體參數進行分類,從而獲得用于表征活性污泥絮體微觀特征的綜合指標.同時,以PCA所得主成分作為判別條件,采用Fisher判別分析對污泥沉降性能進行判別,以期為污泥沉降性能在線自動判別提供技術基礎.
2 材料與方法
2.1 試驗裝置
試驗裝置為6個內徑為100 mm、高度為1100 mm的SBR反應器,反應器有效容積為8 L,裝置示意圖如圖 1所示.反應器底部設有微孔曝氣盤,其內設置溶解氧傳感器,以監測溶解氧的變化.

?圖1 試驗裝置示意圖
2.2 污泥絮體培養
按照不同接種污泥來源,將反應器分為兩組(R1~R3和R4~R6),R1~R3接種污泥取自馬鞍山市某污水處理廠(W1,A2O工藝)二沉池,R4~R6接種污泥取自馬鞍山市另一污水處理廠(W2,氧化溝工藝)二沉池.試驗以安徽工業大學教職工生活區污水為基質,按照1 ∶ 10比例稀釋,再以葡萄糖為碳源,氯化銨為氮源,磷酸二氫鉀為磷源,將進水中COD ∶ TN ∶ TP調節為100 ∶ 5 ∶ 1.兩組中的3個反應器COD分別控制為200、400、600 mg · L-1左右,目的在于使得馴化后各反應器中污泥性狀多元化,以保證模型有較好的適用范圍.
反應器采用水浴方式控溫,溫度保持在(20±1)℃.反應器每天運行2個周期,每個周期為12 h,其中,進水時間為10 min,反應時間為10 h,沉淀時間為30 min,排水時間為20 min,待機時間為1 h.
2.3 圖像采集與分析
在曝氣條件下,每隔1~2 d對6根反應器采樣1次.從反應器液面下20 cm處采集150 mL泥水混合樣品于錐形瓶中,混勻后用量筒取其中100 mL測SV,余下50 mL樣品用于顯微圖像采集.事先將移液槍頭部切去一段,以便絮體順利通過,用移液槍從50 mL樣品中取25 μL置于載玻片上,再覆上24 mm×24 mm的蓋玻片,置于奧林巴斯BX53顯微鏡(奧林巴斯,日本)載物臺上.顯微鏡接Mshot DC30數碼相機(明美,中國),并采用配套的MShot Digital Imaging System軟件(明美,中國)進行顯微圖像采集,將蓋玻片分為3個區域,在40×放大倍數下對每個區域不重疊抽樣拍攝20張照片,共60張,并保存為1024×768像素的JPEG格式圖像.每隔1~2 d在兩個污水廠(W1和W2)的好氧池采集污泥樣本1次,圖像采集和分析方法同6根反應器,檢測期間近3個月.
使用Image-Pro Plus 6.0(Media Cybernetics,美國)軟件對每個樣品的60張圖像依次進行消除拍攝時背景亮度、噪音、雜質等影響的處理,測量得到軟件內置參數數據.數字圖像的分析流程如圖 2所示.其中,在進行圖像分割時,采用閾值處理的方法,將圖像轉化為二值圖像,根據拍攝圖像灰度分布特點,調整灰度閾值范圍,在0~200灰度閾值范圍內與絮體基本重合,為目標部分,其余閾值范圍為背景部分.最后,將軟件內置參數計算結果導出至Excel(Microsoft,美國)文件中,并在Excel中計算出各導出參數的值,各導出參數的計算公式具體如表 1所示,這些參數的定義參照文獻,其中,微觀濃度(Cmicro)定義為單位體積樣品絮體投影面積總和,其可從微觀角度表征污泥濃度.

?圖2 圖像處理流程圖
?

表1 數據集中絮體微觀參數概況
2.4 圖像數據分析
2.4.1 主成分分析
主成分分析方法是通過線性組合的方式實現降維的思想,在較少損失信息的前提下,把多個指標轉化為幾個綜合指標的統計方法.在進行主成分分析前,需對圖像分析數據進行相應整理.對于1個污泥樣本(1個載玻片)可采集60張絮體圖像,每張圖像都可提取20個微觀參數信息(表 1),除絮體數量N取60張圖像的總和外,其余參數均為60張圖像的平均值,從而獲得單個污泥樣本的微觀數據.
將經過上述數據處理所得絮體微觀數據集(表 1)由Excel文件導入至SPSS 19(IBM,美國)中進行主成分分析,需要注意的是,SPSS中沒有現成的主成分分析模塊,故需基于因子分析模塊,以初始因子載荷矩陣除以主成分特征值的平方根,可得到相應的主成分特征向量,即主成分綜合評價函數的系數矩陣.主成分分析具體步驟如下:①利用20個絮體微觀參數建立原始變量矩陣X,并對X進行標準化處理;②計算相關系數矩陣,檢驗所選的20個變量是否適合進行主成分分析;③求相關矩陣的特征根和對應的標準化特征向量;④確定用于表征污泥絮體微觀特性的主成分個數m,選取m個主成分使得累計貢獻率達到85%以上;⑤寫出主成分的表達式,確定污泥絮體微觀特性的綜合評價函數,獲得污泥絮體特征綜合指標.
2.4.2 Fisher污泥沉降性判別
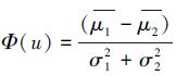
以SVI等于150 mL · g-1為界線,將樣本分為兩個總體“正?!焙汀芭蛎洝?以上文所得污泥絮體特征綜合指標作為Fisher判別分析的判別條件,采用SPSS軟件對樣本數據進行Fisher判別分析建模.Fisher判別分析思路是投影分析,將這兩類數據投影到某個方向,使得投影后“正?!鳖惻c“膨脹”類之間離散程度最大化,即兩個總體的均值差
盡可能的大;并使得這兩類內部離散程度最小,即兩個樣本的方差和σ21+σ22盡可能小,則建立目標函數為:

.由此,問題可轉化為找到使得目標函數Φ(u)達到最大的投影向量,進而構造出判別函數.將兩個總體的樣本微觀參數觀測值分別帶入判別函數中求和,再分別除以各自的樣本個數,求得兩組樣本的“重心”得分.
構造出污泥沉降性判別函數后,還要確定判別臨界值c.在兩個總體先驗概率相等的假設下,取c為兩組樣本“重心”的加權平均值.對于一個新樣本,計算其判別函數得分F.若F>c,則判定為“正常”;若F 為了對判別模型的可靠性進行驗證,將取自6根反應器的訓練樣本回代到模型中,求得回判正確率;再將取自2座污水廠的測試樣本代入模型,求得判別正確率. 3 結果 3.1 反應器和污水廠運行的沉降性狀況 整個試驗過程共采集到163個訓練樣本,其中“正?!蔽勰鄻颖?05個,“膨脹”污泥樣本58個.如圖 3所示,R1中SVI分布范圍為47~121 mL · g-1,R2中SVI分布范圍為112~292 mL · g-1,R3中SVI范圍為157~636 mL · g-1,R4中SVI分布范圍為35~85 mL · g-1,R5中SVI分布范圍為59~159 mL · g-1,R6中SVI分布范圍為65~188 mL · g-1.6個反應器的污泥沉降性狀況各不相同,整體SVI分布范圍較廣泛,為建立模型提供了充分的數據基礎.兩座污水廠共采集測試樣本67個,二者的運行狀態也不同,W1在監測期間內沉降性均為“正常”,W2在監測期間內均為“膨脹”. 3.2 絮體微觀參數間的相關分析 主成分分析適用于所選變量之間存在較強相關關系的數據,如原始數據相關性較弱,則起不到很好的降維作用,所得主成分濃縮原始變量信息的能力差別不大.故在進行主成分分析前,對絮體微觀參數間的相關關系進行計算,求得變量間相關系數的絕對值,結果如圖 4所示. 由圖 4可知,用于表征污泥絮體特征的不同類型參數間具有一定的相關關系.表征絮體數量的參數N與用于表征絮體大小的參數Amean、Rec、Pconv、P、Fmax、L、W、Deq呈負相關關系,相關系數絕對值大于0.5(p<0.05).由此可以看出,絮體大小和數量的變化是大致同步的,絮體間存在“聚集”和“解體”現象.絮體密實性參數、伸長性參數和規則性參數間相關性也較高.密實性參數HR,其物理意義為孔面積與絮體面積的比,與伸長性參數和規則性參數顯著相關(r>0.420,p<0.05).而伸長性參數與規則性參數間除Ro、Comp、Ext和FF外都具有顯著的相關關系(r>0.800,p<0.05).由此來看,絮體在客觀條件不同的情況下,絮體密實性、伸長性和規則性的變化較為同步.在伸長性參數和規則性參數中,較為特別的有Ro、FF,二者與大小參數間的相關系數能達到0.5以上,在其后的主成分分析中可以發現,Ro、FF作為表征絮體形態學特征的參數,這兩個參數在大小因子上也占有較高的載荷.可以推斷Ro和FF會受到絮體大小的影響,對絮體大小也有一定的解釋能力,通常認為小絮體的投影更接近于邊界光滑的圓形,此時Ro和FF趨近于1. 用于表征污泥絮體特征的同類型參數間的相關性大多較顯著,說明同類型參數對絮體特性的表示結果具有一致性.8個大小參數(Amean、Rec、Pconv、P、Fmax、L、W、Deq)間有顯著的相關關系(r>0.969,p<0.05),絮體的面積、周長、長、寬等特征的變化趨勢基本一致.6個伸長性參數可分為兩組,Ro、Comp和Ext都顯著相關(r>0.571,p<0.05),AR、Asp和BR間相關系數均大于0.872(p<0.05).分析各參數計算公式可以發現,Ro、Comp和Ext對伸長性的表征是基于二維的面積,而AR、Asp和BR是基于一維的長度,面積和長度變化的不同步性導致兩組間的相關性不顯著.3個規則性參數間顯著相關(r>0.344,p<0.05),其中,FD和Conv間的相關系數為0.944.較為特別的是FF與FD的相關系數僅0.344,而其與Ro的相關系數為0.983,與Comp和Ext的相關系數也均大于0.670,與Jenné等(2006)的觀點不同,這說明將FF定義為規則性參數有失妥當,作為伸長性參數更為合適.用于表示絮體密實性的HR則與除Ro、FF之外的其它伸長性參數和規則性參數都有顯著的相關關系.伸長性參數與規則性參數間大都具有較強的相關關系,只有Ro、FF與AR、Asp、BR、FD的相關關系不顯著. 盡管污泥絮體的微觀濃度Cmicro僅與大小參數間具有較為一般的相關關系(r>0.317,p<0.05),和其它參數相關性不顯著,但其與MLSS的相關系數為0.709(p<0.05),有顯著的相關性,可以用作污泥濃度的微觀表現形式.總之,絮體微觀參數間均存在較為理想的相關關系,適合進行主成分分析. 3.3 構建污泥絮體微觀特性綜合指標 163組樣本數據包含20個變量,對其進行主成分分析的結果如表 2所示,前3個成分可累計解釋原始數據總信息量的89.068%(大于85%),基本上可較完整地保留原始信息,故選取前3個成分為主成分.以初始因子載荷矩陣除以主成分特征值的平方根,可得到相應的主成分特征向量,即主成分評價函數的系數矩陣. ?表2 絮體微觀特征的主成分信息提取 由圖 5可知,參數N、Amean、Rec、Pconv、P、Fmax、L、W、Deq在主成分1(PC1)上載荷較高,絮體數量和大小間存在負相關關系,可將PC1歸納為污泥絮體大小因子,提取原始變量信息的46.684%,其綜合評價函數為:
式中,Z表示對原始變量進行標準化后的值. ?圖5 各微觀參數的因子載荷 PC1函數中,Amean、Rec、Pcon等大小參數對PC1的貢獻較大,因為大小參數在PC1上載荷較高,即相關系數較大,說明大小因子與絮體面積、周長、長寬等參數的變化具有同步性. 參數HR、Ro、AR、Asp、Conv、Ext、BR、FF、FD、Conv在主成分2(PC2)載荷較高,絮體密實性參數、伸長性參數和規則性參數間相關關系顯著,可歸納為污泥絮體形態因子,提取原始變量信息的35.303%,其綜合評價函數為:
PC2函數中,AR、Comp、BR等形態參數對PC2 的貢獻較大,因為形態參數在PC2上載荷較高,說明絮體的密實性、伸長性、規則性與形態因子的變化具有同步性;相反,Amean、Rec、Pcon等大小參數卻對PC2起相反作用,因為大小參數在PC2上載荷為負,說明面積、周長、長寬等參數與形態因子呈負相關關系. 參數Cmicro在主成分3(PC3)上載荷較大,故歸納為濃度因子,提取原始變量信息的7.081%,其綜合評價函數為:
PC3函數中,Cmicro對PC3貢獻最大,因為濃度參數在PC3上載荷較高,說明微觀濃度與濃度因子的變化具有同步性. 3.4 基于污泥絮體微觀綜合指標的污泥狀態分析 按照上文所述Fisher判別分析方法進行計算,求得判別函數為:
將實測的樣品微觀參數經過PCA計算后得到的主成分函數值,代入判別函數求出判別得分.判別函數F在“正常”分類組的“重心”得分為0.526,在“膨脹”分類組的“重心”得分為-0.952,求得判別臨界值c為0.0000859. 如表 3所示,將163個訓練樣本代入已建立的判別模型中進行回判,總體的回判正確率為79.8%,其中“正常”樣本被誤判為“膨脹”的占總數的14.3%,“膨脹”樣本被誤判為“正常”的占總數的31%.采用同樣的方法,將67個污水處理廠檢測樣本代入模型進行判別,總體的判別正確率為80.6%,其中,“正?!睒颖颈徽`判為“膨脹”的占總數的18.9%,“膨脹”樣本被誤判為“正?!钡恼伎倲档?0.0%.由此來看,在僅考慮污泥絮體特征的情況下,該模型已有較好的判別能力. ?表3 Fisher判別分析結果 4 討論 4.1 污泥絮體微觀特性對沉降性的作用 其他學者研究結果大多認為污泥絮體特征對沉降性有影響,該主成分-判別分析模型也是建立在絮體微觀特征對沉降性作用原理的基礎上.模型的判別結果同時也驗證了污泥絮體特征對沉降性的影響.污泥絮體20個微觀參數通過主成分分析歸納為大小因子、形態因子和濃度因子.大小因子反映系統中絮體大小的平均水平;形態因子則包含絮體密實性、伸長性、規則性等方面內容,通常認為個體較大、結構密實、形狀規則的絮體具有良好的沉降性能,且沉淀后上清液濁度較低;濃度因子從微觀角度來看是絮體分布緊密程度的體現,通常認為污泥濃度大,絮體分布緊密,則絮體沉降過程中相互干擾強度高,不利于絮體沉降. 對判別模型進行分析,可以發現“正常”分類的“重心”得分為0.526,“膨脹”分類的“重心”得分為-0.952,故判別得分偏小會使得判別結果趨向于“膨脹”.通常,在污水處理系統向“膨脹”發展時,絲狀菌增多的同時,污泥絮體也會變得更加細小、伸長、粗糙、松散.從模型本身來看,污水處理系統向“膨脹”發展時,對應的PC1函數值減小,PC2函數值增加,PC3函數值減小;即數量減小、體積減小、濃度降低、結構松散、絮體伸長、外表粗糙.其中,數量減小和濃度降低與其他學者觀點不同,其通常認為絮體數量增加、污泥濃度增高對沉降性不利.但實際上,由于污泥沉降性變差,會導致活性污泥流失、絮體數量減少、污泥濃度減小. 4.2 判別模型的誤差分析 在對誤判的樣本數據進行研究時發現,33個誤判樣本可分為兩種類型,一是將“正常”樣本判別為“膨脹”,此類型有5個來自R1,1個來自R2,3個來自R5,9個來自R6;二是將“膨脹”樣本判別為“正常”,此類型有9個來自R2,3個來自R3,2個來自R5,1個來自R6.影響判別正確率的因素很多,但主要因素來自污泥本身的特征,在6個反應器運行過程中,污泥特征較為典型的有R2和R6. R2中活性污泥為分散生長狀態,宏觀上表現為上清液渾濁,不能形成成層沉降,無泥水分界面,微觀上主要表現絮體體積較小、結構松散,具體如圖 6a和6b所示.絮體體積雖小,但由于結構松散會導致絮體會有“微弱”的連接,圖像分析時可能會將這些絮體當成一個整體處理,增大F值,導致將“膨脹”誤判別為“正?!? ?圖6 絮體顯微圖片(a.R2,40×;b.R2,100×;c.R6,40×;d.R6,100×) R6中污泥絮體如圖 6c和6d所示,污泥絮體核心處顏色較深,即較為密實,污泥本身沉降性較好.誤判樣本測得的絮體數量大都低于平均水平,即Z(N)小于0,大小參數在標準化后的值也大都小于0,Z(Cmicro)也大都小于0,使得F值較小.從而最終導致將大量的“正?!睒颖菊`判為“膨脹”. 對于體積小、結構松散卻相互“微弱”連接的絮體,可在圖像分析操作中增加“開運算”的程度而消除誤差.對于絮體核心處較密實,沉降性能較好,但其它特征表現的類似于“膨脹”的情況,可考慮引入參數“灰度比”來表征絮體核心處的密實性,其定義為目標部分(絮體)與背景部分灰度平均值的比.此外,在大多數情況下,絮體與絮體間主要是通過絲狀菌連接,適量的絲狀菌可構成絮體的骨架結構.所以,在以后的研究當中可考慮將絮體內部和外部的絲狀菌量加入到數據集中,將絮體內部和外部絲狀菌參數與絮體參數聯合起來建立模型.通常游離絲狀菌對污泥沉降性影響較大,而內部絲狀菌可影響絮體的結構形態,二者結合可提高判別的正確率.具體參見 污水處理技術資料或污水技術資料更多相關技術文檔。 5 結論 1)對20個活性污泥絮體微觀變量進行相關分析發現,絮體微觀參數變化具有同步性,這種同步性表現在兩個方面,即同種類型參數間與不同類型參數間.結果同時表明,該20個參數間相關關系較為理想,適合進行主成分分析. 2)由主成分分析可將20個活性污泥絮體微觀參數濃縮為3個綜合指標,這3個綜合指標分別為表征絮體微觀特征的大小因子、形狀因子和濃度因子.大小因子主要反映絮體數量和大小特征,形狀因子主要反映絮體密實性,伸長性和規則性;濃度因子主要反映污泥濃度的大小. 3)利用3個綜合參數作為判別指標建立Fisher判別分析模型,得到一個判別函數,應用模型可判別污水處理系統是處于“正常”狀態或是“膨脹”狀態,該模型的回判正確率為79.8%,以污水廠監測數據作為測試樣本的判別正確率為80.6%. 4)采用主成分-判別模型對污泥沉降性進行判別,判別結果較為直觀,直接表現為“正?!被颉芭蛎洝?,從而為利用圖像分析技術配合圖像采集的自動化,實現污泥沉降性的在線判別提供了技術基礎.
圖3 6根反應器和2座污水廠污泥樣本的SVI箱體圖 
圖4 絮體微觀參數相關矩陣圖 




![]()


