1 引言
污水生化處理過程中會產生大量的剩余污水,這些污泥的含水率通常超過99%.由于高的污泥含水率常伴隨著大的污泥體積,導致污泥的運輸費用高、污泥運輸難度大、占用大量的處理場地.因此,污泥高效脫水技術的開發成為眼下我國環保工作者研究的重要課題之一.一般來講,污泥中的水分包括游離水(約占70%)、間隙水(約占20%)、吸附水(約占7%)和結合水(約占3%)等.
污泥的化學組成是決定其脫水性的關鍵因素.其中,胞外聚合物(Extracellular Polymeric Substances,EPS)占到污泥總量的60%~80%,且EPS分布和組成對污泥的脫水性的影響最為顯著.J.I. Houghton的研究表明,污泥中EPS的含量決定著污泥的脫水性,每種污泥脫水性達到最佳時都有其對應的胞外聚合物含量.同時,EPS含量決定著污泥的帶電量、過濾后干固體的含量和絮體的穩定性等.研究認為,EPS中蛋白質和多糖的比例影響著污泥的脫水性.相比多糖,有些研究認為蛋白質對污泥脫水性的影響更為顯著,高結合蛋白質的含量不利于污泥脫水.同時,Murtgy等(1999)的研究也表明,污泥脫水性隨著EPS中蛋白質含量的增加而惡化.
傳統的化學調理藥劑如PAC、FeCl3和PAM等主要是通過電中和和架橋作用促使污泥顆粒絮凝來改善污泥脫水性,而其它一些方法,諸如氧化、酸堿、熱處理等破壞污泥絮體結構,能夠促使EPS溶解,從而使結合水轉化為自由水,降低脫水污泥的含水率.已經研究的技術主要有光Fenton/Fenton氧化技術、酸堿處理、熱處理等.高鐵酸鹽是一種強氧化劑,同時其可以被還原為鐵離子或氫氧化鐵,從而起到混凝劑的作用.作為一種綠色的水處理藥劑,高鐵酸鉀(K2FeO4)被廣泛用于飲用水、生活污水和工業水處理工程中.K2FeO4在污泥調理方面的研究已有報道發現,目前,在pH值為3的條件下,K2FeO4調理可以強化污泥脫水性,而當pH值為4~8時,處理后污泥脫水性反而惡化.同時,疏松型EPS(LB|EPS)的總量及其蛋白質和多糖的含量隨著K2FeO4投加量的升高而增加,緊密結合型EPS的變化與LB|EPS相反.
以往的研究側重于K2FeO4對污泥脫水效率的影響,然而并未采用先進分析技術深入探索K2FeO4對污泥EPS組成和分布的影響.因此,本文研究了pH值對活性污泥脫水性及EPS組成和分布的影響,并采用常規化學分析、三維熒光光譜和高效體積排阻色譜等方法分析K2FeO4處理后污泥不同EPS組分(溶解性和結合型EPS)的變化特征,從而深入了解K2FeO4污泥調理的作用機制.
2 材料與方法
2.1 化學試劑
使用到的所有化學藥品為分析純.鹽酸和氫氧化鈉用前將濃度調節為10%溶液.
2.2 消化污泥
污泥取自北京市北小河污水處理廠的剩余污泥,該水廠處理規模為20萬m3 · d-1,主要采用膜生物反應器(MBR)和臭氧深度處理實現中水回用,污泥的基本性質如表 1所示.

?表1 活性污泥的基本性質
2.3 K2FeO4氧化調理污泥方法
室溫條件下,投加K2FeO4,反應1 h后將污泥pH值調節至7~8.
2.4 分析方法
2.4.1 污泥脫水性的測定
污泥比阻(Specific resistance of filtration,SRF)是一種簡單的、容易實現的污泥脫水性評價指標,該參數表示單位重量的污泥在一定壓力下過濾時在單位過濾面積上的阻力.過濾開始時,濾液僅需克服過濾介質的阻力,當濾餅逐漸形成后,還必須克服濾餅本身的阻力.污泥比阻的公式可以表達為:

式中,P為過濾壓力(g · cm-2);A為過濾面積(cm2);μ為濾液的動力粘度(g · s-1 · cm-2);ω為濾過單位體積的濾液在過濾介質上截留的干固體重量(g · cm-3):b為過濾方程t · V=bV+a所代表的直線的斜率;t為過濾時間(s);V為濾液體積(cm3).
取待測污泥樣品100 mL于量筒中,在恒定氣壓(P=0.6 MPa)的條件下過濾,每隔10 s記錄一次濾液體積,直到漏斗中濾餅層出現裂縫為止,停止抽濾,利用差量法測定濾餅含水率,然后進行污泥比阻測定.
2.4.2 EPS提取
取50 mL污泥混合液在5000 r · min-1下離心10 min,收集污泥上清液即為溶解性EPS(Soluble EPS,SEPS). 然后在加入0.05% NaCl溶液,最終體積為50 mL;攪拌使得污泥重新懸浮后,在80 ℃水浴中放置45 min;在5000 r · min-1下離心10min,收集上清液即為結合型EPS(Bound EPS,BEPS).而后進行SEPS和BEPS的COD、三維熒光和分子量等分析. 2.4.3 EPS分析 多糖和蛋白質測定:所有化學分析均進行2次.蛋白質和多糖的分析按照所提出的方法:多糖采用蒽酮法測定,以葡萄糖(Sinopharm)為標準;蛋白質采用Lowry法測定,牛血清蛋白(Sigma)為標準物質.
三維熒光:三維熒光光譜采用熒光光度計(Hitachi F|4500,Japan)測定,激發波長區間為200~400 nm,波長間距為10 nm,發射波長區間為220~550 nm,波長間距亦為10 nm,光譜的掃描速度為12000 nm · min-1.Sheng等(2006)的研究顯示,熒光峰的位置、強度和不同熒光峰的強度比例均不會受到離子強度的影響.
高效體積排阻色譜:高效體積排阻色譜(HPSEC)采用Waters液相色譜系統,由Waters 2487雙波長吸收檢測器、Waters 1525泵組成.分離所用色譜柱為Shodex KW 802.5 柱(Shoko co.,Japan).流動相為用Milli Q水配制的5 mmol · L-1 磷酸鹽緩沖液和0.01 mol · L-1 NaCl溶液,配制后用0.22 μm的膜過濾,然后超聲波脫氣15 min.流動相流速為0.8 mL · min-1,進樣量為200 μL.聚苯乙烯磺酸鈉(PSS)作為分子量的標準物質,標線中所用的PSS分子量分別為1.8、4.2、6.5和32 kDa(Sigma,Aldrich). 2.4.4 其它指標 COD采用重鉻酸鉀氧化法測定,pH采用pHS|3C(Shanghai,China)pH 計測定.
3 結果與討論
3.1 不同pH條件下K2FeO4對污泥的影響
3.1.1 不同pH條件下K2FeO4對污泥過濾脫水性能的影響
不同pH條件下,K2FeO4(投加量0.1 g · g-1,以TSS計)處理后對污泥比阻(SRF)和泥餅含水率的影響如圖 1所示.pH值不僅本身會影響活性污泥的SRF,同時pH值會通過影響K2FeO4的化學形態和反應活性影響其調理效率.可以看出,隨著pH值的降低,K2FeO4的調理效果逐漸改善.在pH值從11下降至2的過程中,SRF和泥餅含水率從1.00×109 s2 · g-1和82.2%分別下降至3.1 ×108 s2 · g-1和76.8%.

?圖1 不同pH值下對K2FeO4處理后污泥SRF和泥餅含水率的影響
3.1.2 不同pH值下K2FeO4處理后污泥EPS分布和組成的影響
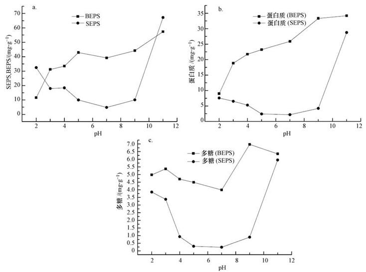
不同pH值條件下,K2FeO4(投加量0.1 g · g-1,以TSS計)處理對SEPS和BEPS含量(以TSS計)的影響如圖 2a所示.隨著pH的升高,BEPS的含量之間升高,而SEPS的含量先下降后上升,在pH值為中性時降至最低.pH值會影響K2FeO4在水溶液中的化學形態.在中性和堿性溶液中,HFeO4-和FeO42-是主要形態,其化學性質比較穩定,會緩慢自發水解;在中性條件下,FeO42-為優勢形態;當pH值小于4時,高鐵酸根主要以HFeO4-和H2FeO4存在.HFeO4-和H2FeO4的反應活性明顯高于為發生質子化的FeO42-.根據反應方程式(2)和(3),高鐵酸根在酸性條件下的氧化還原電位要明顯高于中性和堿性條件下.

K2FeO4不僅有氧化作用,同時其還原產物三價鐵離子兼具混凝功效,能夠通過電中和與界面吸附去除部分SEPS,同時壓縮EPS結構,導致總的可提取EPS含量下降.圖 2b和2c顯示,SEPS中蛋白質和多糖表現出相同的變化趨勢.隨著pH值升高,兩種物質含量(以TSS計)均先下降后上升,在中性條件下達到最低;BEPS中蛋白質含量逐漸上升,多糖含量變化不明顯.相比多糖,鐵離子與蛋白質之間有較強的作用力,鐵離子的混凝作用促使蛋白質從SEPS轉移至BEPS中.

??圖2 pH值對K2FeO4處理后不同EPS(a)及其蛋白質(b)和多糖(c)含量的影響(K2FeO4投加量為0.1 g · g-1,以TSS計)
三維熒光光譜是一種高靈敏度和選擇性的分析工具,被廣泛用于天然水體中有機物的分析中,尤其在生物源物質的表征方面具有獨特的優勢.不同pH值條件下污泥SEPS和BEPS的三維熒光光譜和熒光峰強度分別如圖 3和表 2所示.首先,污泥SEPS光譜中有Peak A(λex/λem=280 nm/335 nm)—色氨酸類蛋白、Peak B(λex/λem=225 nm /340 nm)—芳香類蛋白、Peaks C(λex/λem=330 nm /410 nm)—腐殖酸和Peak D(λex/λem=275 nm /425 nm)—富里酸4個熒光峰;BEPS中僅有Peak A和Peak B兩個峰.研究顯示,當樣品的DOC濃度小于10 mg · L-1時,EEM光譜中的熒光強度可以用來定量EPS的濃度.在SEPS中,堿性條件導致SEPS中4個熒光峰響應明顯增強,而酸化處理后,兩個蛋白熒光峰強度變化不大,但腐殖酸和富里酸熒光峰強度在pH為2時明顯增強;對于BEPS,隨著pH值從2上升至11,Peak A和Peak B的熒光強度分別從48.9和76.8增加至744.7和797.6,腐殖酸和富里酸強度無明顯變化.

?表2 不同pH值條件下K2FeO4處理后EPS熒光強度
?
?
?
圖3 不同 pH值下K2FeO4對調理后污泥SEPS和BEPS熒光光譜的影響(SEPS和BEPS樣品分別稀釋20和100倍)
基于洗脫時間和聚苯乙烯磺酸鈉的表觀分子量的關系,對有紫外吸收的有機物的分子量進行了分類.由于多糖分子中不含有共軛雙鍵,故其只有以糖蛋白或糖脂的形式存在時才能被紫外測出.如圖 4所示,原始污泥上清液可以檢測到5個峰:41 kDa、2500 Da、1900 Da、900 Da和780 Da.根據Lyko等(2007)的分類方法,EPS的分子量可以大致分為3個部分:大分子有機物大分子組分(>5000 Da)—蛋白質和多糖、中分子量組分(1000~5000 Da)—主要為腐殖酸和低分子量組分(<1000 Da)—分子骨架物質.當pH值小于5時,K2FeO4處理后SEPS中的大分子有機物全部去除;在堿性條件下,各個分子量的有機物亦大量溶出.另外,隨著pH降低,K2FeO4對中高分子分子量(800 Da~20 kDa)的有機物去除效率均有所提升.當pH值為2時,僅有310 Da和130 Da分子量可以檢出,其余各個分子量峰均消失.如前所述,K2FeO4的氧化能力隨著pH值的降低而強化,故其對各種有機物的去除效率也隨之提升.另外,在酸性條件下,K2FeO4具有更強的反應活性,在pH調節至中性的過程中,鐵離子的水解也更加徹底,故而具有更高的混凝效能.

?圖4 pH值對K2FeO4調理后SEPS分子量分布的影響(樣品稀釋10倍)
3.2 K2FeO4投加量對污泥特性的影響
3.2.1 K2FeO4投加量對污泥脫水性的影響
K2FeO4投加量對污泥SRF和泥餅含水率的影響見圖 5.可以看出,經過K2FeO4處理后,污泥過濾特性(SRF)和脫水后泥餅含水率均低于原始污泥.然而,Ye等(2012)的研究結果顯示,K2FeO4處理后污泥過濾特性(以SRF表征)惡化,脫水程度有所提高.K2FeO4投加量低于0.005 g · g-1(以TSS計)時,污泥SRF降至8×108 s2 · g-1;而當其投加量從上升至0.02 g · g-1的過程中SRF和泥餅含水率均有所上升;當K2FeO4投加量繼續增加至0.1 g · g-1時,污泥SRF和泥餅含水率均達到最低,即脫水性最佳.

?圖5 K2FeO4投加量對SRF和泥餅含水率的影響(pH=3)
3.2.2 K2FeO4投加量對污泥EPS特性的影響
從圖 6a可以看出,隨著K2FeO4投加量的提高,SEPS和BEPS呈現出相同的變)化趨勢,且和SRF變化保持一致,這說明污泥比阻與可提取EPS的含量呈現良好的相關性.SEPS和BEPS中蛋白質呈現出不同的變化規律,SEPS中蛋白質含量隨著K2FeO4投加量的提高而略有增加,而BEPS中蛋白質先含量增加后減小;多糖含量均隨氧化劑投加量的升高先增加后降低.K2FeO4兼有氧化和混凝的作用,在低投加量(<0.05 g · g-1,以TSS計)條件下,氧化作用占主導地位,導致污泥EPS釋放;在中等投加量(0.05~0.1 g · g-1)時,混凝作用占優,水解的原位產生的氫氧化鐵可以通過電中和作用壓縮污泥的EPS結構,使得總可提取的EPS含量降低;在高劑量(>0.1 g · g-1)條件下,K2FeO4氧化過程將大分子的蛋白質裂解為小分子物質,其難以通過鐵離子的混凝過程而轉入固相中.

圖6 K2FeO4不同投加量對處理后污泥SEPS和BEPS含量(a)及其蛋白質(b)和多糖(c)含量的影響
K2FeO4投加量對污泥EPS熒光光譜特性的影響見圖 7和表 3.相比原泥,經過K2FeO4處理后,SEPS中的腐殖酸和富里酸峰的熒光強度明顯減弱,這可能是由于腐殖酸和富里酸具有較強的疏水性,容易通過混凝吸附轉入固相.SEPS中的兩個蛋白峰的熒光強度隨著K2FeO4投加量升高,表現出降低|升高和再降低的復雜特點,這與化學分析的結果有所不同.另一方面,BEPS中色氨酸和芳香類蛋白熒光峰強度在K2FeO4處理明顯降低,但投加量對其影響不大.這可能是由于K2FeO4的氧化能力有限,氧化過程能夠導致污泥EPS中蛋白質類有機物被裂解,失去了原來的化學結構,但仍然保有氨基酸的基礎分子結構,造成了SEPS熒光和Lowry法分析的差異.

?

?

圖7 高鐵酸鉀投加量對污泥SEPS和BEPS的熒光光譜的影響(SEPS和BEPS樣品分別稀釋20和100倍)
?
圖7 高鐵酸鉀投加量對污泥SEPS和BEPS的熒光光譜的影響(SEPS和BEPS樣品分別稀釋20和100倍)
?
表3 不同K2FeO4投加量對EPS熒光強度的影響
不同K2FeO4投加量條件下,污泥SEPS分子量分布情況見圖 8所示.不難看出,K2FeO4處理后導致210 Da分子量峰的出現,這恰好證實了EEM分析結果,K2FeO4處理后確實出現了小分子有機物.當K2FeO4投加量小于0.1 g · g-1(以TSS計)時,隨著高鐵鹽投加量的提高,高分子量有機物(1900 Da~40 kDa)無明顯變化,小分子量有機物中900 Da和210 Da兩個峰強度明顯提高.K2FeO4的氧化作用導致污泥結合型EPS發生溶解,釋放到清液中,其中大分子組分更易于通過原位產生水解鐵的混凝作用轉入固相,而低分子量有機物難以被吸附去除.另一方 面,在高投加量(0.2 g · g-1,以TSS計)條件下,除了40 kDa分子量峰變化不大外,其余各分子量峰均明顯加強,說明高劑量的高鐵酸鹽氧化過程導致結合型EPS大量釋放,而混凝過程不足以去除氧化裂解的有機物.需要指出的是,此時污泥SRF也隨之上升,這也就說明過量K2FeO4的投加后污泥脫水性惡化主要是由于EPS大量釋放引起的.具體參見 污水處理技術資料或污水技術資料更多相關技術文檔。

?圖8 高鐵酸鉀投加量對SEPS分子量分布的影響(樣品稀釋10倍)
4 結論
1)高鐵酸鉀處理可以改善污泥脫水性,其調理效果隨pH值降低而改善.同時,高鐵酸鉀兼有氧化和混凝的雙重作用,其不僅有氧化裂解作用導致BEPS釋放,同時其還原產物三價鐵離子兼具混凝功效,能夠通過電中和和界面吸附過程去除部分SEPS、壓縮EPS結構,故而高鐵酸鉀處理后總的可提取EPS含量下降.
2)當pH值和高鐵酸鉀投加量分別為3和0.1 g · g-1(以TSS計)時,污泥過濾脫水速率和程度均達到最佳.過量高鐵酸鉀(>0.2 g · g-1,以TSS計)導致污泥EPS釋放,污泥的過濾脫水性能惡化.
