1 引言
廢水處理的活性污泥中的原生動物和微型后生動物等微型動物具有捕食細菌,提高細菌群落活力,降低懸浮固體濃度和出水濁度,改善出水水質等重要作用.研究微型動物群落特征,分析微型動物群落與廢水處理凈化效能間的關系,可以確定污水處理運行狀態突發性改變的原因,以及評估污水處理系統的運行狀況.污泥生化指數(SBI)就是基于“微型動物優勢群落的改變與處理廠的環境和運行狀況有關聯性,隨著水廠運行狀況惡化微型動物數量相應減少”的原則提出的污泥特性評價方法,采用微型動物群落特征量化評價污水處理廠運行狀況.
微型動物對處理系統環境狀況的改變非常敏感,如系統中存在的有毒有害物質對微型動物群落有顯著的影響.焦化廢水是公認的難處理工業廢水,廢水中含有大量的酚類、有機腈類、PAHs、含氮雜環、含氧雜環等難降解污染物,其中,酚、氰化物等有毒有害物質會降低細菌降解效率,對微型動物也有潛在的毒害作用.但目前關于焦化廢水活性污泥法處理中的微型動物群落特征尚不明確,微型動物群落特征與工藝運行之間的關系研究也鮮有報道.
因此,本研究通過焦化廢水活性污泥法實際工程處理中微型動物群落的調查,探究焦化廢水生化處理中的微型動物群落特征,分析微型動物群落與出水水質和運行參數間的關系,以期為焦化廢水處理廠提高處理效果的運行控制提供生物學理論依據.
2 材料與方法
2.1 樣品采集
水樣采自安徽省馬鞍山市某鋼鐵企業焦化廢水處理廠.該廠采用A2/O2(厭氧/缺氧/一段好氧/二段好氧)為主體的組合式活性污泥法處理工藝,設計流量為120 m3 · h-1,其中,蒸氨廢水量為112 m3 · h-1,曝氣池實際水力停留時間為7~8 h.
調研以一段好氧池為對象,進水水樣采集于進入一段好氧池前的缺氧池出水,出水水樣和泥水混合液均采集于一段好氧池(6個平行池)中的1#池末端流向沉淀池的溢流口附近.其中,一段好氧池進水CODCr為(712.10±187.47)mg · L-1,NH4+-N為(47.96±15.75)mg · L-1,揮發酚為(370.60±78.82)mg · L-1,氰化物為(15.23±9.74)mg · L-1.污泥混合液水樣使用100 mL塑料瓶采集約50 mL,空出部分以避免缺氧對樣品中微型動物的影響.采樣時間為2014年4—6月,每隔4~6 d采集1次,采集16次,每次同時隨機采集4個平行污泥混合液水樣,共采集64個樣品.每次分別對4個平行樣品進行微型動物鑒定分析,然后取其均值進行統計分析.
2.2 微型動物的鑒別與分類計數
使用微量移液器(DRAGON大龍)移取25 μL搖勻后的污泥混合液,并置于光學顯微鏡(PH50系列)(×100或×400)下對微型動物進行鑒別并計數(只對活體計數).根據形態學和行為學特征并依照圖譜、文獻將微型動物按需要鑒定到種或類群.其中,原生動物均鑒定到種,輪蟲(rotifers)、線蟲(nematodas)等微型后生動物鑒定到類群(Madoni,1994).鑒定工作在5 h(最長不超過8 h)內完成,以避免微型動物多度和豐富度在鑒別過程中改變.將活性污泥中微型動物群落中常見的纖毛蟲類原生動物分為食菌型纖毛蟲(Bacterivorous ciliates)和肉食型纖毛蟲(Carnivorous ciliates),其中,食菌型纖毛蟲又分為匍匐型纖毛蟲(Crawling ciliates)、固著型纖毛蟲(Sessile ciliates)和游泳型纖毛蟲(Swimming ciliates)等三大類群,但當固著型小口鐘蟲(Vorticella microstoma)和蓋纖蟲屬(Opercularia spp.)大量存在時,必須作為獨立的關鍵類群單獨列出,不包含在固著型纖毛蟲內(Madoni,1994).本研究中因小口鐘蟲(V. microstoma)大量出現,故將其單獨列出.將所得數據按需要折算成個· mL-1.
2.3 理化和運行參數的測定
進出水生化需氧量(CODCr)、氨氮(NH4+-N)、酚(Phenols)和氰化物(CN-)按照《水和廢水監測分析方法(第4版)》方法測定;污泥沉降比(SV)采用30 min沉降直接讀數方法測定;混合液懸浮固體濃度(MLSS)采用稱重法測定;水中溶解氧(DO)、水溫(T)和水的酸堿度(pH)均在線讀取.
2.4 數據分析
群落中主要種或類群的頻度=某物種或類群出現的樣方數/調查樣地內總樣方數;多度是指一個數量上的比率,本文中指單位體積(mL)內所包含微型動物的個數.采用SPSS 19.0統計分析軟件對數據進行Pearson相關性分析和因子分析(因子提取方法采用主成分分析法,因子旋轉方法采用最大方差法),以分析生物學參數、處理效果及運行參數之間的關系.為了滿足統計分析的需要,取4個平行樣的平均值,并在分析前將除pH以外的所有原始數據按對數公式x=ln(x+1)進行轉換.
3 結果
3.1 微型動物群落結構特征
64個水樣中共鑒別出28種原生動物和微型后生動物.其中,固著型纖毛蟲共有14種,即溝鐘蟲(Vorticella convallaria)、春鐘蟲(Vorticella vernalis)、鐘形鐘蟲(Vorticella campanula)、污鐘蟲(Vorticella putrina)、八鐘蟲(Vorticella octava)、杯鐘蟲(Vorticella cupifera)、小口鐘蟲(Vorticella microstoma)、條紋鐘蟲(Vorticella striata)、擴張鐘蟲(Vorticella extensa)、彎鐘蟲(Vorticella hamata)、湖累枝蟲(Epistylis lacustris)、瓶累枝蟲(Epistylis urceolata)、彩蓋蟲(Opercularia phryganeae)和集蓋蟲(Opercularia coarctata);匍匐型纖毛蟲共有4種,即銳利楯纖蟲(Aspidisca lynceus)、有肋楯纖蟲(Aspidisca costata)、盤狀游仆蟲(Euplotes patella)和粘游仆蟲(Euplotes muscicola);肉食型纖毛蟲共4種,即鈍漫游蟲(Litonotus obtusus)、固著吸管蟲(Podophrya fixa)、浸漬錘吸管蟲(Tokophrya infusionum)和楔形雙膜蟲(Dichilum cuneiforme);有殼變形蟲只有有棘鱗殼蟲(Euglypha acanthophora)1種;鞭毛蟲有蛞蝓鞭變形蟲(Mastigamoeba limax)、尾波豆蟲(Bodo caudatus)、球波豆蟲(Bodo globosus)和小波豆蟲(Bodo minimus)等4種;微型后生動物只有輪蟲(rotifers)1種,游泳型纖毛蟲未觀察到.不同微型動物出現的頻率與數量不同,微型動物群落中主要種或類群的頻度和多度如表 1所示.部分常見微型動物顯微圖片見圖 1.
?


表 1 微型動物群落中主要種或類群的頻度與多度(n=64)

?圖 1 焦化廢水活性污泥中常見的微型動物(a.小口鐘蟲,100倍;b.溝鐘蟲,100倍;c.有肋楯纖蟲,400倍;d.輪蟲,100倍)
由表 1可知,出現頻率較高(>50%)的種類有溝鐘蟲(V. convallaria)、小口鐘蟲(V. microstoma)和輪蟲(rotifers).多度較大的種類有銳利楯纖蟲(A. lynceus)、有肋楯纖蟲(A. costata)、溝鐘蟲(V. convallaria)、小口鐘蟲(V. microstoma)、蛞蝓鞭變形蟲(M. limax)和輪蟲(rotifers).
微型動物總多度最大為6.5×103個· mL-1,最小為0.8×103個· mL-1.其中,固著型纖毛蟲和匍匐型纖毛蟲為共優勢群,多度最大((940±866)個· mL-1),它們的平均相對多度分別為16.67%、17.04%.固著型纖毛蟲的種類較多,分布于3個屬(鐘蟲屬(Vorticella spp.)、累枝蟲屬(Epistylis spp.)和蓋蟲屬(Opercularia spp.)),含14個種,其中,鐘蟲屬(Vorticella spp.)種類最多(10個種),這與國內多數正常運行的活性污泥污水處理廠中(Chen et al., 2004;Zhou et al., 2006;2008)微型動物優勢群是相一致的,這是因為固著型和匍匐型纖毛蟲均與活性污泥絮體直接接觸(前者通過柄與絮體相連,后者爬行于絮體表面)(Zhou et al., 2008).固著型纖毛蟲和匍匐型纖毛蟲為優勢群通常預示著活性污泥系統的高效運行(Madoni,1994),因此,從微型動物群落組成優勢群來看,該焦化廢水活性污泥法處理廠運行良好.小口鐘蟲(V. microstoma)、溝鐘蟲(V.convallaria)、銳利楯纖蟲(A.lynceus)、有肋楯纖蟲(A.costata)和輪蟲(rotifers)為優勢種屬(圖 1),其中,小口鐘蟲(V. microstoma)為絕對優勢種.
整體上看,頻度越大對應微型動物種或類群的多度也越大,但也有例外,如溝鐘蟲(V. convallaria)的頻度(69%)大于銳利楯纖蟲(A. lynceus)(41%)和有肋楯纖蟲(A. costata)(38%),而后兩者的平均多度卻均大于溝鐘蟲(V. convallaria),這說明某些種屬在系統中盡管數量較少,但可頻繁出現.
3.2 微型動物群落動態變化
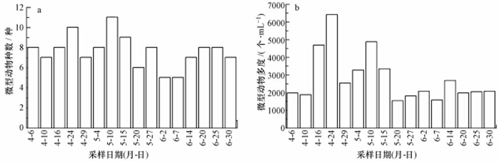
微型動物種數隨時間的變化而波動,最大值出現在5月上中旬,物種數達11種,主要由鐘蟲屬(Vorticella spp.)構成.物種數最少出現在6月上旬,只有5種,是最多時的45.45%(圖 2a).微型動物多度也呈多峰型變動,最明顯的高峰出現在4月下旬,達6.4×103 個· mL-1;最小出現在5月中下旬,為1.5×103 個· mL-1(圖 2b),只有最大值的23.44%.

?圖 2 微型動物物種數(a)和多度(b)的日變化(數據為平行樣平均值)?
不同類群微型動物的變化規律不同,主要類群相對多度隨時間的變化如圖 3所示.其變化主要有以下幾種類型:①“前低后高”型,主要為固著型纖毛蟲,4月份固著型纖毛蟲所占比重相比較小,隨后逐漸增大,到6月上中旬呈現兩個高峰分別達到87.1%、85.0%,之后呈下降趨勢;微型后生動物4月份平均相對多度波動較大,5月初直到6月中下旬波動不大,6月下旬呈明顯上升趨勢;②“前高后低”型,匍匐型纖毛蟲4月份和5月份所占比例大體相近,到6月份匍匐型纖毛蟲明顯減小,以致后期幾乎消失;其他類型的微型動物(包括鞭毛蟲、有殼變形蟲等)也有類似的規律;③“平穩型”,肉食型纖毛蟲在整個研究期間內平均相對多度變化不大,且處于較低水平,平均相對多度為4.41%.

?圖 3 微型動物群落相對多度變化(數據為平行樣平均值)?
結合圖 2和圖 3可知,微型動物群落在物種種數、多度和群落結構上隨時間呈動態變化.在整個調研期間,多度隨時間波動較大的種類有銳利楯纖蟲(A. lynceus)(方差為2.40×105)、有肋楯纖蟲(A. costata)(方差為2.44×105)、小口鐘蟲(V. microstoma)(方差為3.16×105)、楔形雙膜蟲(D. cuneiforme)(方差為1.15×105)、蛞蝓鞭變形蟲(M. limax)(方差為5.99×105)和輪蟲(rotifers)(方差為1.42×105);波動變化較小的有盤狀游仆蟲(E. patella)(方差為6.88×103)、杯鐘蟲(V. cupifera)(方差為1.50×103)、湖累枝蟲(E. lacustris)(方差為4.87×103)、固著吸管蟲(P. fixa)(方差為1.32×103)和有棘鱗殼蟲(E. acanthophora)(方差為0.14×103)等.
由于焦化廢水中含有大量酚、氰、硫氰化物等多種有毒有害物質(任源等,2007;Parimal et al., 2014),并且濃度變化大,如4月份一段好氧池中揮發酚濃度變化大(方差為18.63),6月份揮發酚濃度相對穩定(方差為0.19),這樣可能對細菌和微型動物的活力均有抑制作用,使得活性污泥中微型動物組成結構(圖 3)隨時空變動比較大,群落結構不穩定,如優勢群固著型纖毛蟲(包括小口鐘蟲(V. microstoma))4月、6月的平均相對多度分別為33.93%、64.88%,6月的平均相對多度比4月高出30.95%.
3.3 微型動物群落與處理性能之間的關系
為了探究微型動物與處理性能之間的關系,選取了微型動物頻度、多度較大的5個微型動物類群,其中包含7個種屬的微型動物.此外,還選用微型動物總的多度、物種種數、SBI值等指標,分析它們與焦化廢水一段好氧處理出水水質參數、運行參數間的相關性,結果如表 2所示.

?表 2 微型動物生物學參數與出水水質及運行參數間的相關性分析
從表 2可見,有6個生物學參數與出水水質或運行參數存在著顯著的相關性(p<0.05).其中,生物學參數與出水水質之間,累枝蟲屬(Epistylis spp.)與出水氨氮(r=-0.740,p<0.01)、氰化物(r=0.509,p<0.05),吸管蟲屬(Podophrya spp.)與出水氨氮(r=-0.593,p<0.05),微型動物多度與出水氨氮(r=-0.539,p<0.05),微型動物種數與出水氰化物(r=0.619,p<0.05),以及SBI值與出水氨氮(r=-0.566,p<0.05)、氰化物(r=0.606,p<0.05)相關性顯著,可見累枝蟲屬(Epistylis spp.)的大量出現預示著較低的出水氨氮濃度和較高的出水酚、氰濃度;吸管蟲屬(Podophrya spp.)的大量出現預示著較好的硝化效果,而其他生物學參數與出水水質的相關性不顯著(p>0.05).
生物學參數和運行參數之間,固著型纖毛蟲與DO(r=0.594,p<0.05)、污泥容積指數SVI(r=-0.570,p<0.05),累枝蟲屬(Epistylis spp.)與DO(r=0.514,p<0.05),SBI值與DO(r=0.533,p<0.05)之間存在顯著相關性.污泥沉降指數SVI與多個生物學參數的相關系數為負(r<0).可見固著型纖毛蟲數量大預示著水中溶解氧較高,污泥沉降性好;累枝蟲屬(Epistylis spp.)的大量出現同樣預示著較高的溶解氧.
SBI值與出水氨氮濃度顯著負相關(p<0.05),說明微型動物群落結構的合理性直接關系到系統的硝化效果.SBI值而與出水酚(p=0.124)、氰(p<0.05)等非常規污染物出水濃度的相關性系數為正(r>0),與預期結果相反,這一點與前人的研究結論相一致.
為了更好地理清并理解參數(變量)在系統中的作用及參數與參數之間的相互關系,對上述生物學參數(指微型動物關鍵種屬)及性能參數進行了因子分析.根據因子所能解釋總信息量的程度(要求在85%以上)選取了7個因子,它們概括了原始變量所包含信息量的86.0%,分析結果如表 3所示.


表 3 微型動物關鍵種屬與系統性能參數因子分析
?
表 3顯示了微型動物關鍵種類與活性污泥系統參數(變量)之間的關系,變量與因子間的緊密程度取決于旋轉后負荷系數的絕對值.當變量負荷系數的絕對值大于0.5時,說明該變量與對應因子緊密相關,該變量是對應因子組成中的重要變量(Esteban et al., 1991).
如表 3所示,第1個因子對累枝蟲屬(Epistylis spp.)多度、吸管蟲屬(Podophrya spp.)多度、氨氮濃度和水中溶解氧濃度等4個參數有較大絕對值的負荷系數(>0.5,下同),其中,氨氮濃度和水中溶解氧濃度直接與硝化效率有關,且它們之間呈負相關關系.累枝蟲屬(Epistylis spp.)和吸管蟲屬(Podophrya spp.)多度均與硝化效率呈負相關關系,這與相關性分析的結果相一致(表 2).既然氨氮濃度、溶解氧濃度、累枝蟲屬和吸管蟲屬都是決定硝化效率的環境因子,因此,將因子1定義為硝化效率因子,該因子為總方差解釋量的21.86%.
與第2個因子緊密相關的變量只有銳利楯纖蟲(A.lynceus)、肋楯纖蟲(A.costata)、溝鐘蟲(V.convallaria)和輪蟲(rotifers)等生物學參數,且除有肋楯纖蟲(A. costata)與其余變量之間呈明顯的負相關以外,其他變量之間呈正相關關系.因此,因子2可定義為生物學因子,該因子解釋了原始變量所包含信息量的19.22%.
第3個因子解釋了原始變量所包含信息量的13.81%,對應變量中負荷系數絕對值較大的原始變量有pH、MLSS、SVI等,且pH與SVI呈正相關,MLSS與其余變量之間存在明顯的負相關.pH、MLSS、SVI都是系統運行過程中的控制參數,故可將該因子定義為運行控制因子.
第4個因子概括了原始變量所包含信息量的9.16%,該因子對揮發酚和氰化物出水濃度等有毒有害污染物變量有絕對值較大的負荷系數,且它們之間呈正相關,可將因子4定義為毒害物質因子.
第5個因子概括了原始變量所包含信息量的8.51%,該因子可定義為有機物降解效率因子,因為該因子負荷系數絕對值較大的只有小型鞭毛蟲多度和出水CODCr等變量,且它們之間呈負相關,這與相關性分析結論相一致(表 2).
因子6和7分別概括了原始變量所包含信息量的7.05%和6.43%,與它們緊密相關的變量分別只有小口鐘蟲(V. microstoma)和水溫.
通過對微型動物關鍵種屬或類群與系統一段好氧處理單元出水水質和運行參數之間的Pearson相關性分析和因子分析發現,某些微型動物種屬或類群與出水水質和運行參數之間存在著顯著的相關關系,這些微型動物種或類群可作為相應處理性能參數的指示微生物,以便為系統運行控制提供指導.如前文所述,累枝蟲屬(Epistylis spp.)多度與出水氨氮濃度呈顯著負相關(r=-0.740,p<0.01),這與因子分析結果相一致(表 3),說明好氧池中累枝蟲屬(Epistylis spp.)大量生長預示著出水氨氮濃度低,好氧系統硝化效果好,即累枝蟲屬(Epistylis spp.)可作為該好氧系統硝化效果好的指示微生物.同理可知,可作為硝化效果好的指示微生物有累枝蟲屬(Epistylis spp.)、吸管蟲屬(Podophrya spp.);可作為氰化物降解效果較差的指示微生物有累枝蟲屬(Epistylis spp.);水中溶解氧含量較高的指示微生物種屬或類群有累枝蟲屬(Epistylis spp.)、固著型纖毛蟲(不包括小口鐘蟲(V. microstoma),下同);可作為污泥沉降性好的指示微生物類群有固著型纖毛蟲.
4 討論
4.1 微型動物群落結構異于常規污水處理
焦化廢水處理廠微型動物種類和數量少于常規污水處理廠.調研的焦化廢水處理廠微型動物種數為3~11種,微型動物數量為0.8×103~6.5×103個· mL-1,其中,纖毛蟲數量為0.63×103~4.3×103 個· mL-1(表 1),纖毛蟲數量相比高效運行的常規污水處理廠(>104 個· mL-1)明顯相對較少.焦化廢水一段好氧池中微型動物種類和數量(圖 2)比常規污水處理廠(Chen et al., 2004; Liu et al., 2008)相對較少,種數和數量較少的微型動物群落其結構穩定性較差(Liu et al., 2008).微型動物群落組成結構的變化會直接影響到生態營養鏈中細菌群落結構的穩定,從而影響到整個生態系統功能的穩定(Liu et al., 2008),使得焦化廢水處理運行不穩定.經一段好氧處理后的出水CODCr((152.92±45.77)mg · L-1)、揮發酚((11.12±2.36)mg · L-1)和氰化物濃度((1.22±0.78)mg · L-1)均相對較高,不能達到國家相關排放標準,實際情況與理論分析相吻合.
焦化廢水處理廠微型動物優勢種屬不同.高效運行的活性污泥法污水處理廠原生動物纖毛蟲數量較大,種類豐富,相比小口鐘蟲(V. microstoma),溝鐘蟲(V. convallaria)占優勢,但沒有一種原生動物占絕對優勢,往往以固著型和匍匐型纖毛蟲為共優勢類群(Madoni,1994).焦化廢水處理污泥系統中盡管也以固著型和匍匐型纖毛蟲((940±866)個· mL-1)為共優勢群,在整個微型動物群落結構中仍占優勢,但與小口鐘蟲(V. microstoma)((815±562)個· mL-1)相比優勢并不明顯.小口鐘蟲(V. microstoma)是一種腐生種,它對諸如低溶解氧、高污染物負荷、有毒有害物質進入等極端環境條件有很強的耐受力,故它的大量生長預示著其生存環境的惡劣,這正與焦化廢水中含有大量的有毒有害物質對微型動物有潛在的毒害作用的事實相吻合.
4.2 微型動物群落與處理性能間存在著復雜的相互關系
在活性污泥法廢水處理廠中,出現頻率較高、相對多度較大的某些微型動物種屬或類群與處理廠運行環境、處理效果有著密切的聯系,然而焦化廢水處理中微型動物群落與處理性能間存在的關系卻較為復雜:①絕大多數微型動物種屬或類群與處理性能參數間的相關性不顯著.由表 2所示的生物學參數與出水水質、運行參數之間的Pearson相關系數可知,所列舉12個微型動物種屬或類群中只有3個(固著型纖毛蟲、累枝蟲屬(Epistylis spp.)、吸管蟲屬(Podophrya spp.))與處理性能顯著相關(p<0.05),其余9個微型動物種屬或類群與出水水質相關性并不顯著(p>0.05).這與多數常規廢水活性污泥法處理中微型動物群落與處理性能之間的相關性分析結論不一致;②SBI活性污泥生物性能評價體系對焦化廢水活性污泥性能的評估失準.由表 2可知,SBI值與出水酚(p=0.124)、氰(p<0.05)等毒害物質相關系數為正(r>0),這與Madoni的理論(1994)不符.以上分析說明高毒性工業廢水中微型動物群落與處理性能之間的相互關系與常規污水處理相比更為復雜.
4.3 因子分析方法在微型動物與處理性能關系分析中應用
因子分析是一種實用的統計分析方法,通過變量之間的線性組合找出能解釋變量總信息量最大的組合變量以減少變量個數,確定與系統相關聯的潛在的重要因素,同時呈現變量與變量之間的相互關系,且可為相關性分析結論提供佐證(Zhou et al., 2006;2008),該方法在探究活性污泥微型動物與處理性能間的關系方面已得到相關應用.本文通過因子分析,進一步探究了生物學參數之間及其與廢水處理性能參數之間的交互關系,起到了很好的作用:①提取潛在共性因子,簡化了系統信息.將與系統有關的眾多變量重新組合成新的因子,并分別定義為硝化效率因子、生物學因子、運行控制因子、毒害物質因子和有機物降解效率因子等,以便更好地理解系統眾多原始變量之間的相互關系及系統所包含的主要信息,對這些因子合理的命名結果表明,硝化效率、微型動物關鍵種屬數量、運行控制條件、水中毒害物質濃度及有機物降解效率等因素對系統有著潛在的重要影響.②便于分析微型動物種間關系.由表 3可知,銳利楯纖蟲(A. lynceus)、溝鐘蟲(V. convallaria)、輪蟲(rotifers)相互之間存在著明顯的正相關關系,說明它們能很好穩定地存在于微型生態系統中,存在類似的“協同”關系.可能的原因是銳利楯纖蟲(A. lynceus)、溝鐘蟲(V. convallaria)等原生動物與輪蟲(rotifers)后生動物構成穩定的食物鏈關系.累枝蟲屬(Epistylis spp.)與吸管蟲屬(Podophrya spp.)呈明顯的正相關關系,可視作伴生種屬;此外,銳利楯纖蟲(A. lynceus)與有肋楯纖蟲(A. costata)之間存在著明顯的負相關關系,說明銳利楯纖蟲(A. lynceus)與有肋楯纖蟲(A. costata)同一屬之間存在“競爭”關系,處于同一營養級,在Esteban等(1991)和Martín-Cereceda等(1996)的研究中也得到過類似的結論.具體參見 污水處理技術資料或污水技術資料更多相關技術文檔。
5 結論
1)本研究中焦化廢水活性污泥法處理系統中微型動物種類和數量相對偏低,分別為3~11種和0.8×103~6.5×103 個· mL-1.
2)焦化廢水處理活性污泥微型動群落中固著型和匍匐型纖毛蟲為共優勢類群,其中,固著型小口鐘蟲(V. microstoma)為絕對優勢種,出現頻率最高,相對多度最大;另外,鐘蟲屬(Vorticella spp.)所包含的種類最多.
3)焦化廢水活性污泥中微型動物組成結構隨時空變動比較大,群落結構不穩定,如6月比4月固著型纖毛蟲的平均相對多度高出30.95%.
4)焦化廢水對微型動物群落結構的影響復雜,使生物學參數與處理性能之間的關系變得復雜,如絕大多數微型動物種屬與出水水質和運行參數相關性不顯著,SBI活性污泥評價體系對焦化廢水活性污泥性能的評估失準.
5)因子分析揭示了與系統相關聯的潛在的重要影響因素及某些微型動物種屬間的相互關系,如累枝蟲屬(Epistylis spp.)與吸管蟲屬(Podophrya spp.)存在著“協同”關系,銳利楯纖蟲(A. lynceus)與有肋楯纖蟲(A. costata)存在著“競爭”關系.
6)某些微型動物種屬或類群可作為系統處理性能的指示微生物,為該廢水處理廠運行控制提供指導.如累枝蟲屬(Epistylis spp.)、吸管蟲屬(Podophrya spp.)可作為硝化效果好的指示微生物,累枝蟲屬(Epistylis spp.)、固著型纖毛蟲可作為水中溶解氧含量較高的指示微生物.
